City of Janesville, Wisconsin Loss of the  GM factory in the symmetry physics

RD-blog-number-462BB update Herb Zinser

City of Janesville, Wisconsin

Loss of the  GM factory in the symmetry physics

SCIENCE WARS

– economic casualty

The Science War for control of Cities

The H.G.Wells modern “War of the Worlds” for control of cities. The status review of cities.

 

Herb Zinser’s analysis of the SCIENCE WARS and the effects upon cities; as cities and their citizens sit by and watch television, laugh, party, and live in their Carl Jung collective dream world. Welcome to BRAVE NEW WORLD … and the modern social psychology war using secret music … brain manipulation signals.

The Science War for control of Cities

Madison … Watertown …. Milwaukee

The H.G.Wells modern “War of the Worlds” for control of cities.

 

 

 

The black smoke  poisonous gas in

H. G. Wells‘ 1898 science fiction novel The War of the Worlds, used by the Martians to eliminate groups of humans, especially artillery crews, and conveyed by shells fired from a gun-like “black tube” carried by the Tripods’ whip-like tentacles.

 

Black smoke

(The War of the Worlds) – Wikipedia

 

 The black smoke  poisonous gas in  

 The black smoke  poisonous gas in  

 The black smoke  poisson  probability distribution

….. of Madison Wisconsin university and government

SUPERIOR  nose and mouth gases  …

per the chance / probability of

university chance

 –> chancellor  John Wiley and Rebecca Blank

Poisson distribution – Wikipedia

en.wikipedia.org › wiki › Poisson_distribution

Jump to Examples of probability for Poisson distributions – In probability theory and statistics, the Poisson distribution (French pronunciation: ​[pwasɔ̃]; in English often rendered /ˈpwɑːsɒn/), named after French mathematician Siméon Denis Poisson, is a discrete probability distribution that expresses the probability of a given number of events occurring in a fixed interval …

Compound Poisson distribution · ‎Conway–Maxwell … · ‎Zero-truncated Poisson …

The Poisson Distribution and

Mouth word BS and bragging  ….Poison  Poisson Process Explained

towardsdatascience.com › the-poisson-distribution-and-poisson-proces…

Jan 20, 2019 – The Poisson Distribution probability mass function gives the probability of observing k events in a time period given the length of the period and …

Poison  Poisson Process Explained

Poison  Poisson Process Explained

Poison  Poisson Process Explained by

secret  agent code

… REBECCA … 5 years……

Black smoke

(The War of the Worlds) – Wikipedia

 

Water wells BATTLE

…… water (H2O) molecules

at Watertown and Water100 Wisconsin  

 

 

 

H. G. Wells

(and Watertown water wells)

War of the Worlds

BLACK SMOKE (Vulcanization

of Hydrocarbon battle)…

trove.nla.gov.au › newspaper › article

“LONDON said to be in danger!” the newsboys were crying in the city streets. Then, and then only, did my brother …

“LONDON said to be in danger!” the newsboys were crying in the city streets. Then, and then only, did my brother …

 

 

 

“LONDON (mathematical-physics structure of EARTH  surface …space/time and objects within ….. Office buildings, houses, cellulose trees, atomic iron automobiles , etc

 

 

“LONDON

“LONDON

“LONDON

“LON …….. DON → viewed as 2 equations

 

Don → Data elements from  0  to  n

Lon → Location from 0 to n ….

Such as

O = oxygen atomic base 16  at

O = Oconomowoc Hexadecimal Highway 16

Thus the EARTH atmosphere

Oxygen atom of gas molecules  ….algebra

..x,y   coordinates  of

X-axis horizontal …..   Y-axis vertical  

 

O = Origin  in a graph

Oxygen atomic line …….

O……..n → locations o to n … for data and ideas

 

Thus the Carbon Oxide (CO2)

data carrier molecule of mass 44

….. The CO2 data cycle

 

 

 

Thus COMPUTER EARTH  and

atomic/molecular address space

 

And the   Botany molecules …. tree world…

a city street in O = Oconomowc

…………tree lines the street ….

Thus  the trees ….. form a straight line

From location o (1st tree) to n(last tree)

Thus  the trees …..

form a straight line …..

Between the concrete sidewalk

and the automobile roadway …..

 

 

Thus the human LUNG

OUTPUT CO2 data molecule sent to the

Botany tree LEAF (input CO2 data)  and

Botany tree LEAF (output O2 data)

that becomes input to the human nose

 

Thus in summertime ..

in Oconomowoc Wisconsin …as people walk the

streets /sidewalks …. in the afternoon

The  data exchange ……. between

Humans and tree lined street

……………………………………. tree

Locations o to n (with x-axis and y-axis)

Connects coordinates …..

Oxygen atom/molecules

..xy

Xylem……

Cellulose is a long-chained, regular molecule. As trees evolved, they added lignin to the mix for strength. …

Xylem and phloem while specialized structures also give the tree strength. Interestingly, the cambium doesn’t produce new cells equally throughout the tree.

The Wonder of a Tree:

All About Wood —

and toilet paper

Center for Private (Parts)…

 

 

 

 

 

 

Plant Structure & Function

sci.waikato.ac.nz › farm › content › plantstructure

Jump to Cellulose & Lignin –

About 33% of all plant matter is cellulose – the cellulose … because the column of water in the hollow xylem cells is under …

About 33% of all plant matter is cellulose ….

IBM 3330, 3350, and 3380  data storage CYLINDERS

Modeled  after the

COMPUTER EARTH

About 33% of tree trunk …

annual RINGS & CYLINDERS ….

 

Thus in summertime ..

in Oconomowoc Wisconsin …as people walk the

streets /sidewalks …. in the afternoon

The  data exchange ……. between

Humans and tree lined street

……………………………………. tree

Locations o to n (with x-axis and y-axis)

Connects coordinates …..

Oxygen atom/molecules

..xy

Xylem……

Cellulose is a long-chained, regular molecule. As trees evolved, they added lignin to the mix for strength. …

Xylem and phloem while specialized structures 

 

… LINK

to age 20/age 30

Male brain thoughts and ideas ….. of algebra class/plane geometry coordinates of (x,y)

..thus the Oconomowoc High School failure ….. their real estate houses and their people  as

Worthless  ….. since  they lack

Intellectual content and

Philosophical  Value ….

From the

Sartre existential physics

And EARTH atmosphere

oxygen WORLD view

 

 

 

City of Janesville, Wisconsin

Loss of the  GM factory in the symmetry physics

SCIENCE WARS

– economic casualty

The Science War for control of Cities

ABOVE …

the vulcanization of rubber process …. Automobile tire BATTLE

at the city of Watertown

BELOW…

GM atomic iron assembly  line automobile factory ….

deliberately  destroyed

RD-blog-462

Also see blog–>General Motors = GM = Gravity/Magnetic with

keywords: GM assembly line computer earth

also listed under above toolbar subject: Astrophysics

The book Supersymmetry: Theory, Experiment, and Cosmology by Pierre Binetruy has as Appendix A:

A review of the Standard Model and of various notions of quantum field theory ……….has concepts that are familiar to the Wisconsin University system, many corporations, the United Auto Workers, scientists working for General Motors automotive,etc.

 

Janesville GM Assembly Plant – Wikipedia, the free encyclopedia

en.wikipedia.org/wiki/Janesville_GM_Assembly_Plant

 

Janesville Assembly Plant is an automobile factory

owned by General Motors located in Janesville, Wisconsin. Opened in 1919, it was the oldest operating GM 

History – ‎2006 – ‎References – ‎External links

 

owned by General Motors 

owned by General Motors 

owned by Ge ⇒ Ground earth

(government of

George Washington,

William EWART Gladstone,

George Johnstone Stoney,

Dr. David Livingstone,

Rockerfeller family TRUST,

Etc

……  atomic stone,rock. Limestones, sandstone

Systems with human representatives)

These economic physics theories and their data are intellectual achievements, available in many books and research papers. They are a milestone in understanding the structure of existence; but Nature continues to advance ….and the its intellectual messages continue to provide us with clues ..clues needed to understand the atomic/astrophysics continuum information evolution.

Looking at Appendix A we see concepts:

A.1. Symmetries

A.2. Spontaneous breaking of symmetry

A.3. The Standard Model of electroweak interactions

A.4 Electroweak precision tests

On page 402 …we see the sentence:

–> The case is somewhat different….The same argument as just given tells us….

….math sysmbols with..( G..M ) where dimensional analysis tell us that we are still missing a squared mass factor (m squared) which turns out to be the top mass-squared.

 

Using parallel processing analytical tools of EARTH LAB…

we look at the above KEY WORDS:

argument G M missing factor …which becomes Janesville reality

argument G M missing factory …thus physics symmetry VIA an economic display and a logic display –>

CAUSE: Janesville General Motors missing facts of life

EFFECT: missing automotive factory at

Fe = Ferrous oxide /iron atom 26 protons

and

atomic iron  …..

 iron information Highway  26

for Milton (author Milton.. Paradise Lost)

for Janesville (school book.. Dick and Jane)

 

 

 

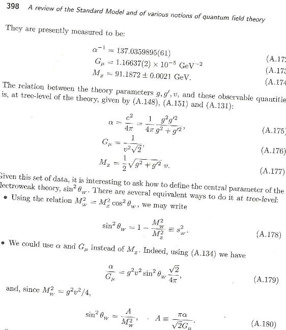
On page 398…we see the math component of the geography state of Wisconsin..

thus Wisconsin = Wis + Con + sin math function.

Thus we see the page 398 sin functions (of wiscon.SIN) …

then lead us to page 402 ..and the economic consequences to the Citizens of Janesville for their intellectual neglect …a responsibility to try to understand the simple math concepts that are part of our daily lives.

Citizens of Wisconsin ought try to understand EARTH LAB and the context in which we live.

 

 

 

 

Maybe the universities..some day ….when not to busy with sports and DVD movies and pizza……may consider that their VIEW of the universe has some intellectual omissions of obvious,simple FACT…….  that are the CAUSE –> EFFECT –>the omitted GM FACT.ory.

Now not to many people are expected to understand the details of pages 398 thru 402; but every adult ought understand that WisconSIN ….is a subset of the larger mathematical-physics fabric of existential dimensions on EARTH LAB with Nature’s vast intellect.

 

 

WisconSIN sine wave economic structure