Rd-blog-363 by Herb Zinser
The energy states of the
Margaret Mead atomic anthropology war.
The Schrodinger wave equation
evolution into the Death Equation.
Modern murder technology studies.
The Eigenstate battle of English in the State of Virginia
Modern atomic social science and atomic constitution battles of the periodic atomic table governmental FOUNDATION of the United States.
The periodic atomic table government has many formats of expression. One such FORMAT is the atomic,bio-physics structure known as humanoid … with a possible abstract symbolic brain.
The human is composed of atoms.
Humans have thoughts.
Thoughts must have an origin.
Therefore atoms are the origin of thought.
Therefore some political protests,crimes, accidents, etc. by humans…..are really atomic events … atomic expressions of the Margaret Mead atomic families VIA the human vehicle / the human atomic feelings expressor/ the human atomic messenger.
Atomic social anthropology families are listed in beginning college physics and college chemistry textbooks. The families comprise vertical columns in the periodic atomic table of life and thought. There are 18 such atomic families. Part of the table is shown below …. atoms have a physical existence AND in modern times, a symbolic life of nouns and adjectives and equations.

The human is composed of atoms. Therefore the human emotions and behaviors are expressions of the atomic brain and mathematical-physics equations.

Thus, let’s look at the concepts that modern science uses to explain EARTH LAB existences.

In atomic physics, the principal quantum symbolized as n is the first of a set of quantum numbers (which includes: the principal quantum number, the azimuthal quantum number, the magnetic quantum number, and the spin quantum number) of an atomic orbital. The principal quantum number can only have positive integer values. As n increases, the orbital becomes larger and the electron spends more time farther from the nucleus. As n increases, the electron is also at a higher potential energy and is therefore less tightly bound to the nucleus. This is the only quantum number introduced by the Bohr model.



Derivation – From Wikipedia, the free encyclopedia
There are a set of quantum numbers associated with the energy states of the atom. The four quantum numbers n, ℓ, m, and s specify the complete and unique quantum state of a single electron in an atom called its wavefunction or orbital. Two electrons belonging to the same atom can not have the same four quantum numbers, due to the Pauli exclusion principle.
The wavefunction of the Schrödinger wave equation reduces to the three equations that when solved lead to the first three quantum numbers. Therefore, the equations for the first three quantum numbers are all interrelated. The principal quantum number arose in the solution of the radial part of the wave equation as shown below.
The Schrödinger wave equation describes energy eigenstates having corresponding real numbers

with a definite total energy which the value of

defines. The bound state energies of the electron in the hydrogen atom are given by:

The parameter n can take only positive integer values. The concept of energy levels and notation was utilized from the earlier Bohr model of the atom. Schrödinger’s equation developed the idea from a flat two-dimensional Bohr atom to the three-dimensional wave function model.
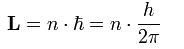
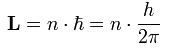
In the Bohr model, the allowed orbits were derived from quantized (discrete) values of orbital angular momentum, L according to the equation

where n = 1, 2, 3, … and is called the principal quantum number, and h is Planck’s constant. This formula is not correct in quantum mechanics as the angular momentum magnitude is described by the azimuthal quantum number, but the energy levels are accurate and classically they correspond to the sum of potential and kinetic energy of the electron.
The principal quantum number n represents the relative overall energy of each orbital, and the energy of each orbital increases as the distance from the nucleus increases. The sets of orbitals with the same n value are often referred to as electron shells or energy levels.
The minimum energy exchanged during any wave-matter interaction is the wave frequency multiplied by Planck’s constant. This causes the wave to display particle-like packets of energy called quanta. The difference between energy levels that have different n determine the Emission spectrum of the element.
K (n = 1), L (n = 2), M (n = 3), etc.
based on the principal quantum number.
Thus we ask, what human applications may exist …..that use the Schrodinger equation in the above format. Do we recognize any relationship to atomic human events? We see 3 such events.
==> EVENT 1 of 3
Let’s look at the energy states of the atom …. such as the state of TEXAS. Now we know that TEXAS exists as a geography state on the surface of EARTH land. That has existed for over 150 years. But now we have additional dimensions of states ..such as TEXAS
… symbolic states

… atomic states

… quantum state
… STATES of MIND
….Markov transition probability states, etc.

Nero Wolfe
Nero Wolfe
Nero Wolfe
Nero Wolfe explains
Nero
NeuroN codes of the
4-legged WOLF earth animal
and
its brain molecular software
Conveyed to humans VIA the
German Shepherd friend and /or police dog
And other 4-legged dogs ……
Human man’s best friend

Nero Wolfe is an existential
DATABASE expression character
(a message format using humanoids
as information display vehicles),
a brilliant, oversized, eccentric armchair detective created in 1934 by American mystery writer Rex Stout. Wolfe was born in Montenegro and keeps his past murky. He lives in a luxurious brownstone on West 35th Street in New York City, and he is loath to leave his home for business or anything that would keep him from reading his books, tending his orchids, or eating the gourmet meals prepared by his chef, Fritz Brenner. Archie Goodwin, Wolfe’s sharp-witted, dapper young confidential assistant
en.wikipedia.org › wiki › Nero_Wolfe
Nero Wolfe is a fictional character, a brilliant, oversized, eccentric armchair detective created in … Nero Wolfe and his boyhood friend
Marko Vukcic ….
Markov chains and the
transition states
( messages and signal states) …..
Of the EARTH geography state of
Montenegro

hunted dragonflies in the … Wolfe does not, however, enjoy visiting restaurants (with the occasional …

Marko Vukcic ….
Markov chains and the
transition states
( messages and signal states) …..
Of the EARTH geography state of
Montenegro

Wolfe’s life-long friend and one of only three men who call him “Nero“; owner and
Chef de Cuisine
of Rusterman’s Restaurant; one of the Les Quinze Maitres; former husband of Dina Laszio. NB: “Vuk” means “wolf” in Serbo-Croatian. “Vukcic” means “little wolf” (or possibly “young wolf”).
Chef de Cuisine
Chef de Cuisine
Chef de Cuisine

Tesla’s Earth …. Small atomic quake / energy vibration ..signaling Machine – The Excluded Middle
www.excludedmiddle.com › earthquake
In the last years of the 19th century, technological alchemist Nikola Tesla may … A vibration sent through the earth returns an “echo signature” using the same …


Thus Yugoslavia and
Hertz oscillation region of VIn circuits



Thus EARTH language word ….
Herzegovina –>hertz + Z electrons +
vin earth atomic soil / ground circuits
Montenegro …..
……….negro people code
Montenegro …..
…….ten → tensor space /time activities
with humans on the EARTH surface

Montenegro →
negative half / bottom half of the HERTZ cycle…..
…involving the
Podgorica ….
Montenegrin Cyrillic:
lit. “[area] below Gorica“,
Gorica being the name of a
hillock overlooking the city) is the capital and largest city of Montenegro.
Podgorica …. Equation ,,,COMPUTER EARTH
Podgorica ….
Podgorica ….
Podgorica
Pod → podiatry …
2-legged people walking on
earth GROUND ………….

2-legged people in
PODiatry /walking ……
(Frame of Reference System … FRS)
city of Podgorica
(Bertrand Russell … OM FRS)
2-legs walking on
COMPUTER EARTH atomic land ……
Geography land as a data entry keyboard

…the human body weight/pressure injects
data into the atomic soil …..



Thus one method of the creation of the
atomic underground language

The secret atomic underground language outlined by
Nikola Tesla and
Zionist (system Z I/O )
Gold Meir of Milwaukke
and the Sinai / Israel …..
………… Sin data carrier … wave function
Underground message systems

that emerge from the ground
into human Bio-sensors ……
whose BODY picks up the
Hertz/ Steinmetz / Nikola Tesla vibration messages …..route to unconscious ….. And maybe it will eventually surface to the conscious level



Wolfe’s life-long friend and one of only three men who call him “Nero“; owner and
Chef de Cuisine
of Rusterman’s Restaurant; one of the Les Quinze Maitres; former husband of
Dina Laszio ….. IBM
LA S Z I/O ……
Load Address system Z I/O
With
System Z oe → order entry
System Z oe
System Z oe
System Z oe
System Z oe war casualty

And
System Z agent …. Zoellick murdered
www.nbc15.com › home › headlines
Sep 7, 2009 – Investigators say 20-year-old Travis Zoellick ….. Haroon Khan
the University of Wisconsin
Milwaukee (double e ..earth electron
..electrical engineering BATTLE zone) …
Watertown PD,
UW-Milw PD (Processing Data),
Town of Emmett PD (Paul Dirac),
and several others who …

Wisconsin earth
Wisconsin earth
Wisconsin earth …
Sine carrier waves per
Si ….Carrie book


Let’s look at the Department of Defense atomic anthropology conflict at Fort Hood, Texas.
How does the Schrodinger equation match the empirical data of the EARTH LAB …LAB HOOD experiment at Fort ( LAB ) Hood.
See below –> Where is the Einstein Special Relativity REACTION TEAM ?

Fort Hood shooting – Wikipedia, the free encyclopedia
The Fort Hood shooting was a mass shooting that took place on November 5, 2009, at Fort Hood, the most populous U.S. military installation in the world, located just outside Killeen, Texas.[1] In the course of the shooting, a single gunman killed 13 peopleand wounded 29 others.[1]
The sole suspect is Nidal Hasan, a U.S. Army Major serving as a psychiatrist.
Hasan has been charged with 13 counts of premeditated murder and 32 counts of attempted murder under the Uniform Code of Military Justice.
Anwar al-Awlaki, who quickly declared Hasan a hero, as “fighting against the U.S. army is an Islamic duty”.
Thus we see the above
message “amic duty” –> “atomic duty”.
Thus the origin of such thoughts must be the periodic atomic table government ….and the atomic thoughts are conveyed to atomic human messengers.
Also above …..shooting was a mass shooting
really is …shooting was an atomic mass shooting
So the question becomes …is this
a proton mass shooting?
a neutron mass shooting?
an electron mass shooting?

or the TOP SECRET particle known as = religious mass.
We never read about this particle in physics books ….
… just rumors that it has atomic religious mass.
Physics and chemistry professors have been doing empirical studies of this particle on SUNDAY…that why it’s known as Sunday School for advanced researchers.
Mysteries and secrets of atomic human life!
The William Shakespeare statement from around year 1600
“The World is a stage and we are the players” ….
today …
“The WORLD is an atomic stage and we are processing layers”.
The tragic event at Fort Hood gives the empirical data of the equations.
The 13 dead soldiers –> minus 13 –> -13
The intials of nidal hasan –> n h
orbitals K L –> KiLL
–> K L Language
–> KiL Le En -13 atomic soldiers
The equations are repeated below:


K (n = 1), L (n = 2), M (n = 3), etc.
Thus we see a new process of Nature …a social engineerimng process FEEDBACK SIGNAL that we need to understand. DARPA ought upgrade their perceptions of REALITY …. instead of relying on the in-bred, closed intellectual circles that they use. Contrary to the thinking in Wahington, D.C and London …….. MOTHER EARTH and Nature could care less about biased, incomplete views ….. that exclude NATURE’s ideas from the process of decision making.
==> The 2nd EVENT …..relates to the Virginia TECH shooting with the Department of English …the messenger for the Schrodinger SCHOOL equantion Department of En –> the energy of words and math mumbers

The English departments and newspaper editors are acquainted with the well-known English language nouns,verbs ….. word structure…. labeled the : DEATH SENTENCE.
Now they have the mathematical-physics DEATH EQUATION …with data examples.
As the S.I. Hayakawa book explained ” Language in Thought and in Action’……and now a new example … with the symbolic thoughts and actions of Mr.CHO and his symbolic brain computer and its symbolic instructions ….. NATURE and Darwinian symbolic selection of MR.CHO to represent the CHOSEN ONE.
==> Event 3 at Northern Illinois University, Cole Hall, DeKalb, Illinois.
From Wikipedia, the free encyclopedia
The Northern Illinois University shooting was a school shooting that took place on February 14, 2008, during which Steven Kazmierczak shot multiple people on the campus of Northern Illinois University in DeKalb, Illinois, United States.
The incident happened at the campus’s Cole Hall at approximately 3:05 p.m. local time.
Six people died in the incident, including the perpetrator,
At approximately 3:05 p.m. CST, Steven Kazmierczak entered a large auditorium-style lecture hall in Cole Hall (Auditorium 101) with approximately 120 students, where an oceanography class with WAVE MECHANICS was in session.

Thus the symbolism of
the K-shell –> Kazmierczak
with messenger bullet shells.
n = 1 –>
n integer 1 –>
nil –> translate Northern Illinois
…..nil -> Principle Quantum Number battle near Evans Field House with the Symbolic House of 1955 MIT physics book by Dr. Robley D. Evans.

Chick Evans Field House battle region – Wikipedia
en.wikipedia.org › wiki › Chick_Evans_Field_House
The Chick Evans Field House is a 6,000-seat multi-purpose arena in DeKalb, Illinois, USA. The arena opened in 1956 and was home to the Northern Illinois …

From Wikipedia, the free encyclopedia
The Northern Illinois University shooting was a school shooting that took place on February 14, 2008, during which Steven Kazmierczak shot multiple people on the campus of Northern Illinois University in DeKalb, Illinois, United States.
The incident happened at the campus’s Cole Hall at approximately 3:05 p.m. local time.
Six people died in the incident, including the perpetrator,
At approximately 3:05 p.m. CST, Steven Kazmierczak entered a large auditorium-style lecture hall in Cole Hall (Auditorium 101) with approximately 120 students,
where an oceanography class
with WAVE MECHANICS was in session.
Thus looking at the empirical data above …..and the Schrodinger equation below.
oceanography –> symbol for the Schrodinger wave equation6 people died –> .6 ev in the equation below
with ev ..subset letters of Steven K.
Steven K. –> implies K-shell with a 1 s orbital
The 1s orbital implies 1 shooter

Thus we see a correlation between the Schrodinger equation and tragic events occuring.
More research need to be done …… perhaps, someday …. the U.S.NAVY or DARPA may be interested in the existence of oceanography class messages …..
from COLE HALL –>
COLE message to the U.S.S.COLE incident of October, 2000
AND
HALL message to the Marines .the song Halls of Montezuma.
Paris IS.land = Par IS –> Parallel Information Systems and earthly existence
Modern EARTH military VIEWS that ought be considered by humanoid THINK TANKS.
A Physicist Explains Why Parallel Universes May Exist (on EARTH ) – NPR
www.npr.org › News › Science › Space
Jan 24, 2011 – It is possible that there are many other universes that exist parallel to our universe. Theoretical physicist Brian Greene, author of The Elegant …
HowStuffWorks “Do parallel universes really exist (on EARTH) ?”

science.howstuffworks.com/science-vs…/parallel–universe.htm
A parallel universe is said to be related to ours, branch off from ours and may contain extinct animals or humans. Is a parallel universe out there?
Clues and puzzles about modern life and events. Do you understand modern world affairs?
Newspapers accurately report the surface veneer of events( date, time , problem, police data gathered,etc.). However, the deeper underlying factors are a challenge … but in Sherlock Holmes tradition ….. the amateur scientist can help understand these indirect, less obvious factors.
THINK like Sherlock Holmes would like us to THINK!