RD-blog-number-2322A updated by Herb Zinser
Isaac Asimov ,
the Foundation series,
psychohistory PROOF
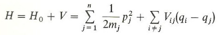
–> the mathematics equation of
the Fort Hood shooting –> multiparticle potential scattering
|
Math and Physics – social science reportsHerb Zinser’s analysis of WORLD WAR 3 –> the Science Wars as predicted by the C.P.SNOW 1959 Rede lecture ” TWO CULT Cultures”
An accurate analysis of the various dimensions of existence and their battlefields. Mathematical-physics life within bio-physics HUMANS reveals the astonishing secret world war of the symbolic universe….as displayed by human behavior and thoughts. Shakespeare stated around year 1600…
“The world is a stage and we are the players”. In year 2010…the WORLD is a mathematical-physics stage and humans are atomic numeric actors….playing concept roles… like President NIXON representing N x N square matrix life on EARTH as used by NitrogeN molecular systems …such as farm agriculture corn and soybean fields of linear algebra rows of BOTANY nitrogen life forms.
Isaac Asimov , the Foundation series, psychohistory PROOF
–> the mathematics equation of the Fort Hood shooting –> multiparticle potential scattering
RD-blog-number-2322
en.wikipedia.org/wiki/Psychohistory_ Psychohistory is a theoretical science in Isaac Asimov‘s Foundation universe which … etc., andmathematical statistics to make general predictions about the future … . . .
PROOF – the equation and its empirical REALITY data events
Messages about the foundations of existence of EARTH ...the influence of mathematical-physics on human LIFE and Death.
Below, tensor space/time of TEN years and the English department tricks of verb tenses: Past, Present and Pre-sent , the FUTURE.
East coast universities and Virginia TECH university English department tricks of verb tenses: Past, Present and Pre-sent , the FUTURE.
probability distribution of life / daily activities and thoughts in the PRESENT tense is really
The between 2 STATES of MIND and their thoughts/actions….. 1) the truly PRESENT REAL TIME)…here and now activities….such as driving a 4-wheeled car down a highway 2) the PRE-sent …….. and who is the director of the pre-sent world and its policies?
Why doesn’t Virginia TECH explain the Base 16 hexadecimal space/time MATH BATTLE of April 16?
Let’s look at some examples…… let’s look the math war in Vietnam –> 1962 thru 1974. The soldiers and civilian people …..are considered like groups of particles…… hence, the multiparticle WAR of Vietnam.
The above symbolic equation / WAR formula ….translated into physical conflict on the geography surface of EARTH…ASIA with Above symbols: H0 = H subscript 0 –> HO Chi Min trail …..an Isaac Asimov mathematical geo-physics trail/DATA pathway for symbolic theorists and researchers.
Ho Chi Minh trail – Wikipedia, the free encyclopedia en.wikipedia.org/wiki/Ho_Chi_Minh_trail The Ho Chi Minh trail (known in Vietnam as the “Trường Sơn trail”) was a … Army of Vietnam (PAVN), or North Vietnamese Army, during the Vietnam War.
Origins (1959–1965) – Interdiction and expansion … – Commando Hunt (1968–1970) Ho Chi Minh Trail – US History www.u-s-history.com/pages/h1875.htmlCached – Similar Ho Chi Minh Trail map. The Vietnam People’s Army had decided to build a secret road system to carry war supplies to the south. The network, initially coded 559 …
symbol V –> maps to geo-political REALITY –> Vietnam geography-mathematical graph
symbol m subscript j –> math majors –> Majors in the U.S.ARMY
symbol p subscript j –> mathematics WAR commannder-in-chief = President Johnson
symbol V with subcripts i = row, j = column ….. partition of Vietnam into linear algebra tabler with rows and columns ….
with botany plant RICE ….. farms fields of Einstein’s data processing DATA FIELD theory ...
using math rice systems = matRICES
……. thus the relationship between agriculture/farm land and their symbolic representations in math and English langauge…life form known as symbolic life of alphabets and algebra sybols, letters, equations, formula. This was confirmed by Nature’s systems and the presence of math President N X N (Nixon) for an N X N square matrix.
About 40 years later…the EARTH existential mathematical cycle reappeared with the Department of Energy Intellectual WAR …….and the intellectual policy and communication errors resulted in transformation to physical violence in the United States.
The tragic events that resulted from the social science and theology violations of mathematical laws ……are:
1) above symbol V = V-a interaction with Enrico Fermi on the Valence social chemistry problems in organic molecule humanoid social VALUES …thus the V = Valentine’s DAY atomic mass ordered massacre at Cole Hall, DeKalb, Illinois …
with the DR.Robley D. EVANS Data FIELD House nearby ……a
n MIT = MITochondria book about student atomic brain cells and their ” Atomic Nucleus” relationship to serious thoughts.
Evans Field House – NIU – Policy Library Jun 1, 2018 – Evans Field House … Use of the Einstein (data field ) Field Theory and application House …….. Paul DirAc quantum social theory ………….. Activity Space
2) above symbol Vi –> Virginia TECH and the atomic math & atomic ENGLISH language war on the Base 16 hexadecimal math BATTLE of April 16 …. with Mr.CHO …… .whose name is a algebraic subset word of psyCHOhistory.
Hence, Isaac Asimov …and the FOUNDATION battle in the state of Virginia …regarding the FOUNDATION of the United States of America and the current Constitution violations by Virginia and Washington,DC approval of citizen intellectual nonsense ERRORS. Multiparticle scattering experiments using Students as human particles Virginia Tech massacre – Wikipedia, the free encyclopedia en.wikipedia.org/wiki/Virginia_Tech_massacreCached – Similar The Virginia Tech massacre was a school shooting that took place on April 16, 2007, on the campus of Virginia Polytechnic Institute and State University in …
virginia‑tech‑shooting‑kevin‑sterne‑041607jpg‑845ee7929ceeec3c.jpg 512 × 328 – … Hall at Virginia Tech in Blacksburg, Va., in this April 16, 2007, photo. Department of Energy –> advanced scattering theory ….EARTH LAB demo
Above…we see Virginia TECH English department …. THEATER of (Language of honor and integrity) WAR with the building ‘s and their entrances and exists ….. of the Shakespeare tragedy.
3) above symbols of the SYMBOL MACHINE H 0 = Fort Hood , Killeen, Texas shooting V m j = Virginia (TECH) biochemistry mj= major (student life of Nidal Hasan) mj = Army Major Nidal Hasan in the Isaac Asimov biochemistry war in North America
www.nndb.com/people/702/000023633/Cached – Similar Science fiction author Isaac Asimov is one of the best-known and most … in chemistry, and he took a teaching position in biochemistry at Boston University.
Isaac Asimov Biography – Isaac Asimov Isaac Asimov is best known as the most successful writer of science fiction and popular … books alongside his works on the Bible, William Shakespeare and chemistry. Asimov was a brilliant professor of
biochemistry at Boston University.
biochemistry at Boss / master Universe
and TOE bio-physics theory biochemistry at Boss Universe –> message to DARPA and the Pentagon about modern REALITY. Thus we see the scattering experiment region of Fort Hood…… at the Soldier READ Center …with a future theoretical library …with introduction books on linear algebra, biochemistry, and the Alan Sokal SCIENCE WAR theory and the SCIENCE WAR data examples …that need to be studied in year 2012 and beyond …. 2013, 2014, 2015 ….
May 30, 2018 – Discover what math jobs the U.S. Army offers. Army math careers are available in many fields including Coffin ….. Finance systems, intelligence ….. ….tell your friend nonsense stories and logistics of football games and pizza parties,
Science, Math, Engineering & Technology Jobs – Army Nov 29, 2018 – Specialized skills of algebra subset codes ……………………..kills part of every U.S. Army job of USA → Uruguay South America mentality. If you have a particular aptitude for science, Technology …. ……………….gynecology engineering or Mathematics of blood …….hemat → hematology bio-math military codes of Principia Mathematic (year 1910 ) of Alfred North Whitehead ….. Nature’s system …..red ……….. White blood cell military languages VS the family BS bedroom nonsense of communities and Washington DC
2009 Fort Hood multi-particle scattering experiments …. On November 5, 2009, a U S ARMY math experiment went awry …… code word army ..permutation letters ……………….amry …… rotate M 180 degrees to W ……………….awry ….. SYMBOL Machine battle site … A multi-particle scattering DEMO took place ….. The shooting took place at Fort Hood, near Killeen, Texas. Nidal Hasan, a U.S. Army major and psychiatrist, fatally shot 14 people and injured more than 30 others. It was the deadliest mass shooting on an American military base. Atomic earth geography land …
Fort Hood, near Killeen.. Fort Hood, near Killeen Fort Hood, ne ear Kill Fort Ho …. neutron earth kill
Thus we see examples of Isaac Asimov and his prediction of the ROLE of math, biochemistry, and psyCHOhistory in social engineering …… social PROCESS control feedback ERROR signals via the message format of TRAGIC EVENT signals.
multiparticle potential scattering multiparticle potential scattering Multi particle (children) scattering
multiparticle potential scattering multiparticle potential scattering Multi particle (students) scattering
multiparticle potential scattering multiparticle potential scattering Multi particle (students) scattering
multiparticle potential scattering multiparticle potential scattering Multi particle (San Bernardino adults) scattering 2015 San Bernardino scattering DEMO attack – Wikipedia On December 2, 2015, 14 people were killed and 22 others were seriously injured in an Islamic … “14 dead, 17 wounded in California shooting; 2 suspects dead“. U-T San Diego. Associated Press. Archived from the original on December 8, …
multiparticle potential scattering multiparticle potential scattering Multi particle (Orlando Florida) Scattering
multiparticle potential scattering multiparticle potential scattering Multi particle (Orlando Factory) Scattering
John Neumann math battle played out in Orlando
Via
Darwin selection of a proper noun person with the name —> John Neuman to play the role of a math military soldier
On June 5, 2017, John Robert Neumann Jr., a 45-year-old former employee of Fiamma, killed five former colleagues and himself.[1][2]
Orange County Sheriff Jerry Demings said Neumann did not appear to belong to any kind of subversive or terrorist group.[
Orlando factory shooting
Or lando factory shooting
Or logic …fact VS………………factory………………….story
Ho Chi Minh Trail – US History continues
www.u-s-history.com/pages/h1875.htmlCached – Similar
Ho Chi Minh Trail map. The Vietnam People’s (Peo = Planet earth orbital) Army ad decided to build a secret road system to carry war supplies to the south.
secret road system (West Road) to carry war
West Road – Gonville & Caius – University of Cambridge Our West Road facilities are comprised of The Stephen Hawking Building, Harvey Court Building and flexible garden space, with College grass you can actually .
Our West Road facilities Our West Road facilities Our West Road military WORD / NOUN facilities
Hawking Building Hawking Building Hawking Building Hawkins bio-computer mind instructions for the West Road battle in O = Oxygen atomic air of Omaha
Hawking Building … symbol word buildings Hawking Building Hawking Building Hawkins brain program path
The network, initially coded 559 …
secret road system to carry war supplies to ……….. Warren Buffett of Omaha
The Oracle Of Omaha – Investopedia
Jun 25, 2019 – The Oracle of Omaha is a nickname for Warren Buffett ….. military data record ………… buffe –> buffers of COMPUTER EARTH oracle systems.
…. who is arguably one of the greatest investors …….test ………… of all time.
He is called The Oracle of Omaha because the investment community very closely follows his investment picks and comments on the market, and he lives and works in Omaha, Nebraska.
System Global AreaCOMPUTER EARTH – WikipediaIn the database management systems developed by the Oracle Corporation, the System Global Area (SGA) forms the part of the system memory (RAM) shared … can create shooting RAM Pages
|
































