RD-blog-number-6249 by Herb Zinser

Hydrocarbon gasoline asks carbon black agent ..Samuel DuBose ..Are you hep?

Secrets of music and TV words

This blog post reviews the hydrocarbon molecule war casualty  in Cincinnati, Ohio.

 

 Thus …….   the molecular question  asked  of cab drivers, car drivers, and automobile  motor vehicle operators   ….

 

Are you hep ………..   to the heptane jive?

 

 

 

The  carbon black people of Cincinnati  that  issue  organic  chemistry social commands on SDunday … via   organ music in church  …. have failed.        Their Carl Jung collective  GROUP MIND   was suryved by the Bose-Einstein condensate process for an answer   ….   thru their Bose-Einstein  interface  agent   …. secret  agent named Samuel DuBose.

 

 

Bose-Einstein condensation | Joint Quantum Institute

jqi.umd.edu/…/boseeinsteinconde

University of Maryland, College Park

The BEC phenomenon was first predicted  by Satyendra Bose and Albert Einstein in the 1920s, hence the name. BEC was first noted to exist in liquid helium.

s=”image_block”>

 

 

Satyendra Bose and Albert Einstein in the 1920s,

Satyendra Bose and Albert Einstein in the 1920s,

Satyendra Bose and Albert Einstein in the 1920s,

Satyendra Bose and Albert Einstein in the 1920s,

 

 

Shooting of Samuel DuBose – Wikipedia, the free …

https://en.wikipedia.org/wiki/Shooting_of_Samuel_DuBose

Wikipedia

The shooting of Samuel DuBose occurred during a traffic stop for a

missing front license plate on July 19, 2015, in Cincinnati, Ohio. Ray Tensing, a white …

19, 20

19, 20

19, 20’s

Years…  19 20’s   Bose –> year 2015 DuBose

Nature’s  messages waiting in year 2015

What I have heard about Bose-Einstein condensation makes it sound really weird.

What is it really, and how did someone think of it?

 

In the early 1920s Satyendra Nath Bose was studying the new idea (at that time) that the light came in little discrete packets (we now call these “quanta” or “photons”). Bose assumed certain rules for deciding when two photons should be counted up as either identical or different. We now call these rules “Bose statistics” (or sometimes “Bose-Einstein statistics”).

So where does Einstein come in?

Bose had trouble getting people to believe him and to publish his ideas in the scientific magazines of the day, so he sent them to Einstein. Einstein liked them, and he was a very important scientist at that time, so he used his influence to get them published.

The  hydrocarbon application  ,,,,,,  Bose-Einstein Condensate(BEC)   Shooting of Samuel DuBose   – The New York Times

www.nytimes.com/…/charles-blow-the-shooting-of-sa

The New York Times

Jul 29, 2015 – Samuel DuBose was a 43-year-old unarmed black man who was shot in the head and killed by a University of Cincinnati police officer, Ray …

/>

 

 

 

What is Condensate? Introducing America’s New Oil Export …

blogs.wsj.com/…/what-is-condensate-introducing…

The Wall Street Journal

Jun 25, 2014 – When underground condensate is mostly a gas, but it condenses into a … Traditionally, all that oil has to go to a refinery or special equipment …

/>

What is condensate? definition and meaning

www.businessdictionary.com/definition/condensate.html

Recovered mainly from gas reservoirs, condensates are very similar to light stabilized crude oil and are used as feedstock for oil refining and other …

Condensate and Natural Gas Liquids – The Natural Food Hub

www.naturalhub.com/slweb/defin_oil_and_natural_gas.html

To be able to use crude oil, the different components that make it up need to be seperated out. Crude oil run through various processes in oil refineries will …

 

 

The super-symmetry existential physics CONCEPT MIRROR  ………  use to distille and condense accurate social science information from the human dribble  and nonsense explanation   …  news  data space.

 

 

 

 

Now, let look at another blog post for more clues.

 

Samuel DuBose killed in Cincinnati hydrocarbon molecule wars

 

RD-blog-number-6179 by Herb Zinser reviews Bose-Einstein condensate signaling EVENTS that occur on the EARTH geography display surface  .. of land , rivers and oceans , outdoors   …..

with human information DISPLAY activities of DEATH.

 

 

earth-cancer-23-chromsomes-pairs

 

 

sam hengel bose

 

 

Some Bose-Einstein condensate events ……..

a) Samuel  DuBose and his black community code  Du  –> the Bose Hindu  information Project DUE

 

Boston energy Satyendra Nath bose

 

The modern Cincinnati double-agent for Bose –> DuBose  …….   community lack of  INTELLECTUAL    effort results in his death.

bose samuel dubose

 

Shooting of Sample Space  entity  …. Samuel DuBose – Wikipedia, the free …

https://en.wikipedia.org/wiki/Shooting_of_Samuel_DuBose

Wikipedia

The shooting of Samuel DuBose occurred during a traffic stop for a missing front license plate on July 19, 2015, in Cincinnati, Ohio. Ray Tensing, a white …

 

Let’s look at another blog post that explains more …..

including  the EARTH  organic chemistry  war zone

The Bose-Einstein condensate

comprised of the Union of Carbon atom

… social expression sets WAR in Cincininnati

 

 

Rd-blog-number-6159 by Herb Zinser reviews the news reports about the UC battle in Cincinnati.

 

Nature’s SYMBOL MACHINE  language analysis tools identifies code –> UC =  algebra set  theory UNION  of sets of Carbon atoms  in various formats … such as carbon based life forms named humanoid..

 

 

UC closed, city prepares for DuBose shooting decision, video

www.cincinnati.com/story/news/2015/07/29/…dubose…/30822025/

Jul 29, 2015 – Hamilton County Prosecutor Joe Deters will hold a Wednesday afternoon press conference regarding the University of Cincinnati

 

 

 

UC closed early in anticipation of negative reaction in Sam …

www.wlwt.com/news/ucclosed-early-in…dubose…/34426230

WLWT

Jul 29, 2015 – UC closed early in anticipation of negative reaction in Sam DuBose case …. Dozens of state troopers were called upon by the city to lend …

 

 

 

Chief Blackwell on UC officer’s body cam: I’ve seen the video

www.wcpo.com/…/city-university-of-cincinnati-official-meet-with-faith-l…

Jul 27, 2015 – As Cincinnati city officials meet with community and faith leaders over … death of 43-year-old Sam Dubose by UC Officer Ray Tensing during a …

 

 

Chief Blackwell

Chief Blackwell

C …… Black

Carbon  Black  …….  organic chemistry messenger

 

 

Carbon black – Wikipedia, the free encyclopedia

https://en.wikipedia.org/wiki/Carbon_black

Wikipedia

Carbon black (subtypes are acetylene black, channel black, furnace black, lamp black and thermal black) is a material produced by the incomplete combustion of heavy petroleum products such as FCC tar, coal tar, ethylene cracking tar, and a small amount from vegetable oil.

Common uses – ‎Reinforcing carbon blacks – ‎Pigment – ‎Surface chemistry

Reinforcing carbon black

Reinforcing carbon black

Reinforcing carbon black

Surface chemistry

Surface chemistry

……face chemistry

The shooting of Samuel DuBose occurred during a traffic stop for a missing front license plate on July 19, 2015, in Cincinnati, Ohio.

Ray Tensing, a white University of Cincinnati police officer, fatally shot DuBose, a black man, when Dubose started his car and, according to Tensing, began to drive off. Tensing stated that he was being dragged when his arm became caught in the car.

Prosecutors said that footage from Tensing’s bodycam showed that he was not dragged and a grand jury indicted him on charges of murder and voluntary manslaughter. He was then fired from the police department.

 

 

UC –> University of Chicago in Hyde Park is the well-known  aldehyde molecule social interaction LOCATION  on the EARTH geography surface  ….

using human molecular display devices.

 

 

Organic Chemistry – University of Chicago

https://chemistry.uchicago.edu/faculty/…/id/4.html

University of Chicago

Chemistry Department – University of Chicago. …

Department of CHEMISTRY.

 

 

 

 

Experiment 10: Identification of  an aldehyde and a ketone …

This …..is a demonstration of Experiment No 4 of the Chem 2050 lab course of the chemistry department ..

 

 

City of Chicago :: Alderman of Hyde Park

…. Leslie A. Hairston

www.cityofchicago.org/city/en/about/…/leslie_a_hairston.html

Chicago

That is why it was no surprise that she upset an incumbent in her first race for 5th Ward Alderman. A Chicago native, who grew up in the 5th Ward’s Hyde Park .

 

 

Easy Experiments of Organic ….. Social Chemistry for Students’ …

 

 

Let’s look at another blog post that provides more clues about the social life and expressions of molecules. VIA humanoid expression display devices.

 

THE BOSE-EINSTEIN CONDENSATE (CO) WAR

OF CINCINNATI,OHIO

REVEALED BY SAMUEL DUBOSE

RD-blog-number-6160 by Herb Zinser reviews the atomic social science database EVENT generated by Nature’s systems using atomic, bio-physics humanoids.

The India numeric/alpha(na)  … Hindu Bose-Einstein border with the CO = Condensate of  CO = Cincinnati,Ohio revealed by EARTH LAB sample space specimen Samuel  DuBose

In this blog we are interest in boundaries and border  … between different existential physics formats

What is Bose Einstein condensate?

http://www.innovateus.net/science/what-boseeinstein-condensate

Bose Einstein Condensate is the fifth state of matter (after solid, liquid, gas, plasma). To visualize the fifth state of matter one needs to have the cooling capacity …

The fifth state of matter: Bose-Einstein condensate : Worldly …

indiatoday.intoday.in/…state-of-matterboseeinstein…/4300…

India Today

In 1924, Albert Einstein and Satyendra Nath Bose predicted the.

The two states of matter they didn’t teach you about in …

csip.cornell.edu/Curriculum_Resources/…/Plasma_%20%26_%20Bose.p…Two states of matter they didn’t teach you about in school… Until Now! Plasma. BoseEinstein Condensate. We all know about: LIQUIDS. SOLIDS. GASES.

Let’s look at a blog post that outlines the situation.

The Samuel DuBose signaling EVENT explains the Indian Embassy

and Hindu Bose-Einstein condensate EARTH WARS

RD-blog-number-6157 by Herb Zinser reviews the Samuel DuBose murder as a consequence of  Department of Justice  BOSTON TRIAL of  Bose-Einstein statistics with concept agent Tsarnaev  ……

and the death sentence orders issued from the  Department  of Justice Bos region –> Boston.

 

Boston bomber’s trial leaves a lingering sadness – CNN.com

http://www.cnn.com/2015/05/17/us/tsarnaev-13th-juror-last-word/

CNN

In the end, 12 people who spent the past 10 weeks thinking about little else but the 2013 Boston Marathon bombings took just 14 hours to …

Boston Marathon bomber Dzhokhar Tsarnaev gets death …

http://www.cnn.com/2015/05/15/us/boston-bombing-tsarnaev-sentence/

CNN

A jury has sentenced Boston Marathon bomber Dzhokhar Tsarnaev to death.

watertown and boston race

 

Bose-Einstein statistics

farside.ph.utexas.edu/teaching/sm1/lectures/node80.html

BoseEinstein statistics. Let us now consider BoseEinstein statistics. The particles in the system are assumed to be massive, so the total number of particles $N$ …

 

 

Boston energy Satyendra Nath bose

The Boston orders resulted in Nature’s systems response using SYMBOL MACHINE   word and proper noun  Darwinian selection  of code word  (… Bose)  to create the recognizable   Science War  EVENT in Cincinnati..

 

The Indian Embassy in Washington, DC ..   secret language codes ….

Bose-Einstein statistics

Bose-Einstein statistics

Bose-Einstein statistics

 

 

Hindu Bose-Einstein statistics

Hindu Bose-Einstein statistics

Hindu Bose-Einstein statistics

Hindu Bose-Einstein   DEATH  statistics

 

 

Hindu Bose-Einstein statistics

Hindu Bose-Einstein statistics

..….du Bose

…..  

a  DEATH  statistic  DEMO by Nature’s message systems

 

Timeline: Shooting death of Sam DuBose – Cincinnati Enquirer

www.cincinnati.com/story/news/2015/07/…deathdubose/30944517/

July 19: University of Cincinnati police officer Ray Tensing shoots 43-year-old Samuel DuBose in the head in Mount Auburn, killing him …

 

University of Cincinnati police resume patrols after killing of Samuel DuBose

MSNBC‎ – 1 day ago

The University of Cincinnati Police Department has resumed patrols in areas around the … patrols without additional clarification on what has changed since DuBose’s death.

No charges for 2 Ohio officers at scene of DuBose’s death …

http://www.nydailynews.com/…/no-charges-2-ohio-officers-scene-du

Daily News

Two University of Cincinnati police officers will not face charges in Samuel DuBose’s death, a mathematical-physics  SPECIAL prosecutor said.

ohio cincinnati-1

 Above is the India (Asia)  super-symmetry existential physics MIRROR of India North America –> code –> India Na –< Indiana  with  code –>  double BOSE –> duBose.

Thus we see the EARTH geography  DEMO expression of quantum states and other  concepts..giving atomic sciences sciences  and  CIN + CIN (double / parallel processing code) of the city of CinCinnati.

Thus the EARTHLY  view  … of different levels  of existence and perception.

fort hood parallel universe

Incident report: UC officer dragged before fatal shooting …

http://www.wlwt.com/news/incident-report-uc…shooting/34321122

WLWT

The University of Cincinnati Police Department has released an incident report in the fatal … Map Room … Dubose, 43, was shot and killed by University of Cincinnati Officer Ray Tensing shortly before 6:30 p.m. Sunday.

Map Room … Dubose,

Map Room … Dubose,

Map Room … Dubose,bose -einstein

database

CINCINNATI —A grand jury has indicted University of Cincinnati Officer Ray Tensing on a murder charge in the July 19 shooting death of Sam DuBose, Prosecutor Joe Deters announced. Tensing is also indicted on a voluntary manslaughter charge.

University of Cincinnati Officer

University of Cincinnati Officer

Univers      of C…………… O –> universe of Co = Condenstate  …… DEMO on the border between the 2 states (India North America)  and  CO = Cincinnati Ohio

bose 2222

Bose-Einstein Condensate Definition – Physics – About.com

physics.about.com › … › Physics Dictionary › Physics Dictionary: A to D

Definition: A BoseEinstein condensate is a rare state (or phase) of matter in which a large percentage of bosons collapse into their lowest quantum state, …

bosons collapse into their lowest quantum state, ..

bosons collapse into their lowest quantum state, ..

bosons collapse into their lowest quantum state, ..

bose cincin

Samuel DuBose death: Cincinnati officer who fatally shot driver in …www.cbsnews.com620 × 350Search by imageBody-camera video of the July 19 shooting of motorist Samuel DuBose by Officer Ray Tensing was released on July 29, 2015.

Samuel DuBose

Sam       Du Bose

Sample space  –> Duplicate Page (DuPage Couty and FermILAB)

and   Du = Double  Bose from Boise. Idahao and Boise, Itasca (Illinois)  missing  from Nature’s communications systems as required by PROTOCOL –> PROTO  + COL  –> PROTONS of the periodic atomic mass table  18  COLUMNS

Database  —>

I think  he lost his temper because DuBose would not get out of the car,” Deters told reporters. “You won’t believe how quickly he pulls his gun and shoots him in the head.

“This doesn’t happen in the United States. Maybe in Afghanistan, but not in the United States,” Deters said.

DuBose

DuBose   … the car(bon) atom

Maybe in Afghanistan

Maybe in Afghanistan

Ma(p)……………… stan(dard)  Model Physics message

standard model 18

 in the United States

in the United States

in the United States ……

– EARTH geography states

– States of Mind

– Linear control states

State-space representation – Wikipedia, the free encyclopedia

https://en.wikipedia.org/wiki/State-space_representation

Wikipedia

Jump to&nbsp;<a href=”https://en.wikipedia.org/wiki/State-space_representation#Linear_systems”><b>Linear</b>&nbsp;systems</a>&nbsp;–&nbsp;Block diagram representation of the linear state-space equations … is called the “input (or control) vector”, \mathbf{u}(t) \in ..

Linear systems with state and control constraints – Electrical …

web.eecs.umich.edu/~grizzle/…/Gilbert(65).pdf

University of Michigan

linear discrete-time time- invariant plant is given together with a linear controllaw … both the state and the control variables or on linear combinations of them.

– Markov probability transition states

F]MARKOV CHAINS – Pearson

http://www.aw-bc.com/greenwell/markov.pdf

by JG Kemeny – ‎Cited by 3 – ‎Related articlescalled a Markov chain, where the outcome of an experiment depends only on the … The symbol will be used for the probability of transition from state i to.

 – States of Nature and decision theory

]An Introduction to Decision Theory – McGraw Hill Higher …

highered.mheducation.com/sites/dl/free/…/Lin01765_ch20_final.pdf

A branch of statistics called statistical decision theory that uses probability has … tives; (2) the states of nature, which are not under the control of the decision …

 

 

Another blog post of organic chemistry.

 

The RCH NIXON … organic chemistry continuum

and

its COMPUTER EARTH matrix coordinates map

 

RD-blog-number-4132 by Herb Zinser reviews the President Richard Nixon model of the EARTH organic chemistry continuum   and its EARTH geography coordinates …..  linear algebra matrix coordinates  … rows and columns needed for COMPUTER EARTH data record processing.

 

Let’s look at the Richard Nixon code and then at an application example from Cincinnati, Ohio.

Nature’s SYMBOL MACHINE languages, equations, and concepts suggest the translation ….

RICHARD –> subset letters –> RCH –> R  + CH –> Reactive site Carbon Hydrogen entities

 

NIXON –> subset code –> N X N –> an N by N square matrix –>  in addition …  it implies a rectangular matrix

Spiro Agnew –> Spiro –> subset –> ro –> row  …. such as rows and columns

Agnew –> Ag –> Agriculture –> farm land …coordinates /grid of the EARTH geography surface ..land on farms and in cities ….. all included in the surface map grid / template

Thus the project announced by Richard NIXON and Spiro Agnew  ….. that ..  human RCH organic chemistry entities existing on the Earth GEOGRAPHY SURFACE    have a location / coordinates.

Given this model of  REALITY  … the year 1968 / 1970 project ..let’s look at an example VIA its  generated EVENT   …  an attention getting database … signaling  EVENT.

Man shot in head at Richie’s Fast Food Restaurant in West …

raycomgroup.worldnow.com/…/man-shot-in-head-at-richies-fast-food-resta…

May 27, 2014 – Cincinnati police are investigating a shooting reported Tuesday evening in the West End.

 

Man shot in head at West End restaurant dies – Cincinnati …

www.cincinnati.com/story/news/crime/…/shooting-at-richies/9651365/

May 28, 2014 – A 27-year-old man shot in the head Tuesday night in the parking lot of Richie’s Restaurant on Linn Street died Wednesday, Cincinnati police …

 

Thus the organic chemistry SIGN above  …stating that this fast food site   is a RCH  site.

Thus we had an RCH elimination   …organic chemistry –> social  and economic  chemistry.

Dathan Hall: Man charged in deadly West End restaurant …

https://secure.fox.com/…/dathan-hall-man-charged-in-deadly-west-end-rest…

The suspect accused in the shooting death of a man outside of Richie’s Fast Food … in deadly West End restaurant shooting – Cincinnati News, FOX19-WXIX TV.

 

 

Dathan Hall:

Dat  ….code Dalton

John Dalton – Wikipedia, the free encyclopedia

en.wikipedia.org/wiki/John_Dalton

Chemical Heritage Foundation

John Dalton was one of the most important people in the history of chemistry. He established a theory of atoms that he published in “A New System of Chemical ..

 

 

Dathan Hall:

Dathan Hall:

Dathan Hall:

 

Hall Research Group – Department of Chemistry – University …

www.chem.ualberta.ca/~dhall/frame.html

University of Alberta

Hall Group, Summer 2012, CCIS building. From left to right:

 

 

 

pearsonschool.com: Prentice Hall Chemistry ©2008

www.pearsonschool.com/redirect.cfm?programID=28644

Scott Foresman

Prentice Hall Chemistry meets the needs of students with a range of abilites, diversities, and learning styles by providing real-world connections to chemical

 

school.com: Prentice Hall Chemistry ©2008

 

school.com: Prentice Hall Chemistry ©2008

school.com: APPrentice Hall Chemistry ©2008

school.com: APPrentice Dalton Hall Chemis….try

 

Dathan Hall:

Dathan Hall:

Dathan Hall:

 

Below, the reactive site of the  social chemistry … message processing experiment

Man shot in head at Richie’s Fast Food Restaurant in … – WIS

www.wistv.com/…/man-shot-in-head-at-richies-fast-food-restaurant-in-…

WIS

Cincinnati police are investigating a shooting reported Tuesday evening in the … p.m. to Richie’s Fast Food Restaurant located in the 1300 block of Linn Street.

 

Fast Food Restaurant located in the 1300 block of Linn Street.

F –> Base 16 hexadecimal  Food Restaurant

 

Man shot in head at Richie’s Fast Food Restaurant in … – WIS

www.wistv.com/…/man-shot-in-head-at-richies-fast-food-restaurant-in-…

WIS

Cincinnati police are investigating a shooting reported Tuesday evening in the … p.m. to Richie’s Fast Food Restaurant located in the 1300 block of Linn Street.

 

located in the 1300 block of Linn Street.

located in the 1300 block of Lin ..nn Street.

located in the 1300 DATA block of Line n x n square matrix  Street –> Linn –>

referback to  the 16th President of the United States …..

President Linn –> Lincoln –> Lin + col + n –> Line column n  –> Linear  algebra grid of the Illinois land in year 1860.

Thus Nature’s system project started with the Base 16 hexadecimal President …

and then  100 yeras later around 1960 thru 1970  …… NIxon represented part of another project milestone.

Thus in August of year 2014…we have the data generating event …

 

CINCINNATI, OH (FOX19) –

The suspect accused in the shooting death of a man outside of Richie’s Fast Food Restaurant in the West End appeared in court Friday morning.

Dathan Hall, 21, was arrested Thursday night and charged with murder in the death of 27-year-old Jariell Dean last May. He’s being held on a $500,000 bond.

Police said Dean was shot May 27 in the parking lot of Richie’s at 1301 Linn Street, causing him to crash his vehicle into the restaurant.

 

Dean suffered a gunshot wound to the head and later died at the hospital.

Hall appeared in a Hamilton County courtroom at 9 a.m. Friday for arraignment. The case was scheduled to go before a grand jury August 18.

 

appeared in a Hamilton County courtroom

appeared in a Hamilton County courtroom …

 

The Cayley-Hamilton Theorem and the Matrix … – MIT

web.mit.edu/2…/CayleyHamilton.p…

Massachusetts Institute of Technology

The matrix exponential eAt forms the basis for the homogeneous (unforced) and the forced … The Cayley-Hamilton theorem states that every matrix satisfies its.

 

 

The matrix exponential eAt forms

The matrix exponential eAt forms

The matrix exponential –> eAt forms

—> at Richie’s fast food restaurant

..food for thought ……… food for organic chemistry and math INTELLECTUAL thoughts

Thus ..in year 2015 ..we have some data clues about Nature’s puzzling message EVENT.

 

 

Samuel DuBose of Cincinnati and other events in Cincinnati.

Shooting of Samuel DuBose – Wikipedia, the free …

https://en.wikipedia.org/wiki/Shooting_of_Samuel_DuBose

Wikipedia

The shooting of Samuel DuBose occurred during a traffic stop for a missing front license plate on July 19, 2015, in Cincinnati, Ohio. Ray Tensing, a white …

 

 

At 6:30 p.m., on Rice Street near Thill Street,[9] Tensing stopped DuBose for failure to display a frontlicense plate.[10] The incident was recorded on Tensing’s bodycam, which he activated before the traffic stop.[11]

Seen in the bodycam video, Tensing repeatedly requests a driver’s license and DuBose replies that he has a driver’s license, before eventually stating that he does not have it with him, causing Tensing to ask, “Are you suspended?” Tensing starts to open the driver’s door and tells DuBose to remove his seat belt. DuBose pulls the door closed and starts the engine.

 

Within the next few seconds, Tensing reaches into the car with his left hand, yells “Stop! Stop!”, draws his pistol with his right hand, and fires once. Tensing falls away from the vehicle which moves forward as he and two other officers run after it. It comes to a stop after about 100 yards (91 m).

Within the next few seconds, Tensing reaches into the car with his left hand, yells “Stop! Stop!”,

Within the next few seconds, Tensing reaches into the car with his left hand, yells “Stop! Stop!”,

………………………… seconds, ……………………………….. car ………..   left hand, yells “Stop! Stop!”,

translated ….

second carbon moleucle messge ..left for anlaysis        … social chemsitry lab  …. flask and stopper code

The second EVENT  .. an organic chemsitry message site

Man shot in head at Richie’s Fast Food Restaurant in West …

raycomgroup.worldnow.com/…/man-shot-in-head-at-richies-fast-food-resta

May 27, 2014 – Cincinnati police are investigating a shooting reported Tuesday evening in the West End.

Authorities responded at about 9:40 p.m. to Richie’s Fast Food Restaurant located in the 1300 block of Linn Street.

Police said Jariell Dean, 27, was shot in the head and taken to a nearby hospital where he later died from his injuries.

 

 

Nature’s RCH  moleucle expression site using human display devices, SYMBOLS, and  and locations.

 

Another message from RCH ..

Man shot inside Richie’s Restaurant

WCPO ABC 9 Cincinnati, OH

Oct. 31, 2010. 08:00 AM EST

A restaurant employee was shot and killed inside the Richie’s Fast Food Restaurant

in Bond Hill (molecular BOND message about molecular  energy hills).

 Thus we see the CONCEPT …..   the  visible EARTH geography region  of BOND HILL and the shooting at RCH molecule expressison site Richie’s        ..  reflects some INTERNAL molecular war in the orgnaic chemistry continuum.

More information about RIchie’s ……..

The astrophysics organic chemistryWAR

message from

Richie’s Fast Food in Cincinnati, Ohio

 

Rd-blog-number-4130 by Herb Zinser reviews the astrophysics war message for Cambridge University WEST ROAD United Kingdom.

 

The astrophysics galactic LOCAL REGION (Planet Earth) message originates in the United States.

 

The signaling EVENT ……

Man shot in head at Richie’s Fast Food Restaurant in West …

raycomgroup.worldnow.com/…/man-shot-in-head-at-richies-fast-food-resta…

May 27, 2014 –

Cincinnati police

Dathan Hall: Man charged in deadly West End restaurant …

raycomgroup.worldnow.com/…/dathan-hall-man-charged-in-deadly-west-e…

Aug 8, 2014 – The suspect accused in the shooting death of a man outside of Richie’s Fast Food Restaurant in the West End appeared in court Friday ..are investigating a shooting reported Tuesday evening in the Wes

t End.

Man shot in head at Richie’s Fast Food Restaurant in … – WIS

www.wistv.com/…/man-shot-in-head-at-richies-fast-food-restaurant-in-

WIS

Cincinnati police are investigating a shooting reported Tuesday evening in the West …

Authorities responded at about 9:40 p.m. to Richie’s Fast Food Restaurant …

 

Let’s look at the  message keywords and numbers

 

about 9:40 p.m. to Richie’s Fast Food

…….. 9:40 p.m. to Richie’s   ast

year 1940  ……………………astronomy/astrophysics WAR known as World War 2

 

 

 

about 9:40 p.m. to Richie’s Fast Food

about 9:40 p.m. to R. ch   …ast

year 1940    organic chemistry RCH  astronomy    …EARTH RCH –> EARTH .. the reactive site of organic chemistry molecular continuum war  in the context of  an astronomy/astrophysics military to RECAPTURE control of EARTH.

Social chemistry …..

 

 

Chemical Reactivity – Chemistry

https://www2.chemistry.msu.edu/…/react1.htm

Michigan State University

Most of these reactions occur at special sites of reactivity known as functional … It is useful to begin a discussion of organic chemical reactions with a review of ….. not be positively charged, are attracted to electron rich species or groups, which …

 

RCH  ….. Darwinian  molecular SYMBOL selection of Richie’s at the WEST END  … for the message generating EVENT  and its proper  noun routing codes  –> RCH WEST ….. send to INTELLECTUAL reactive site on WEST ROAD.

Alcohol Reactivity – Chemistry

www2.chemistry.msu.edu/faculty/…/alcohol2.h…

Michigan State University

Gas phase dehydrogenations of this kind are important in chemical manufacturing, but see little use in … RCH2–OH + hot Cu RCH=O + H2 … substituent enhances the reactivity of the ring and favors electrophile attack at ortho and para sites.

 

 

attack at ortho and para sites.

attack at ortho and para sites.

attack at ortho and parallel  sites –> West End –> End –> SEND message to West Road astrophysics DAMTP.

 

RCH  ….. Darwinian  molecular SYMBOL selection of Richie’s at the WEST END  … for the message generating EVENT  and its proper  noun routing codes  –> RCH WEST ….. send to INTELLECTUAL reactive site on WEST ROAD.

 

The Stephen Hawking Building | Gonville & Caius

www.cai.cam.ac.uk/…/stephen-ha

Gonville and Caius College, Cambridge

… down the line, but it is decidedly apt that the beautiful new building at 5 West Road should be named … Professor Hawking lived in a Victorian villa on the same site for a number of years, where he raised his … University of Cambridge logo.

 

West Road

West Road

West Road

West Road

 

 

North American EVENT ….. and message routing requirements

 

Man shot in head at Richie’s Fast Food Restaurant in West …

raycomgroup.worldnow.com/…/man-shot-in-head-at-richies-fast-food-resta…

May 27, 2014 –

Cincinnati police

 

 

 

 

Man shot in head at Richie’s Fast Food Restaurant in West …

Man………..head of department  RCH life forms  Base 16 “HEX ‘F” ast –> astronomy/astrophysics in West .

 

 

Apparently the University of  Cambridge in Great Britain  has eaten their brains out  ..like they did with Margaret  Thatcher.

 

Great Britain

Great Britain

.. eat Br..ain

…eat Brain    … the policy of British education   …that will not help understand and fix the problem.

 

 

Halloween in United Kingdom – Time and Date

www.timeanddate.com › … › Holidays › United Kingdom

Time and Date

Halloween is a holiday annually celebrated on October 31. Some people hold Halloween parties on or around this date, where the hosts and … Halloween UK.

 

 

 

Hallowed Be Thy Name: In All the Earth | Desiring God

www.desiringgod.org/…/hallowed-be-thy-name-in-all-the-eart…

John Piper

Nov 4, 1984 – “Our Father who art in heaven, hallowed be thy name. Thy kingdom come, thy will be done, On earth as it is in heaven. Give us this day our …

 

hollow – Dictionary Definition : Vocabulary.com

www.vocabulary.com/dictionary/hollow

If something is hollow, it is empty on the inside

 

 

Hollow be thy name …. thy BRAIN symbol processor should be empty  …so you can be dumb and  arrogant ..and not communicate about the brain bio-computer cannibal subroutines   …

as forwarned by David H.Clark …

subset letter code HC –> Hydrocarbon astrophysics specialist in EARTH  molecule brain  wars

 

 

Above code –> circinus –> cir  + cin = us –> application

 

–> circle (Region of convergence SYMBOL  O –> Ohio)  Cincinnati USA

 

 

Thus David H.C –> Hydrocarbon social chemistry prediction of  a  cannibal problem   …

now has EARTH empirical battle casualty data  on the

RCH … reactive site Carbon Hydrogen.

 

 

The 2nd empirical data signal

Thus David H.C –>  social chemistry prediction of  a  cannibal problem   … cannibal –> can –> canfield Drive in ferguson Missouri.Canfield Drive – Site of Mike Brown Shooting – Becomes …

www.thegatewaypundit.com/…/canfield-drive-site-of-mike-brown-shooti

 

Nov 26, 2014 – In Ferguson, Missouri, the site on Canfield Drive where robber Michael Brown was shot dead by white police officer Darren Wilson is becoming …

 

 

 

 

Gateway Arch – Wikipedia, the free encyclopedia

en.wikipedia.org/wiki/Gateway_Arch

Wikipedia

The Gateway Arch is a 630-foot-tall (192 m) monument in St. Louis, in the U.S. state of Missouri. It is also 630 feet wide. Clad in stainless steel and built in the …

‎Catenary – ‎Eero Saarinen – ‎Jefferson National Expansion

 

 

Gateway arch –> signal code –> Information logic gate  …Milky way  … systems architecture WAR site

 

Hence, we see the shooting at Canfield Drive is a message about astronomy DEFENSE  project SS433 and the cannibal galaxy attack   …such as the skirmish in the ST,Louis Area   …with the arch  … a symbol of the architecture of Planet Earth  SPACE/TIME CMS systems  ..Content Management Systems which include humans,  communities, countries and their people, and human governments and institutions.

 

 

 

Content management system – Wikipedia, the free …

en.wikipedia.org/wiki/Content_management_system

Wikipedia

A content management system (CMS) is a computer application that allows publishing, editing and modifying content, organizing, deleting as well as …

‎List of content management – ‎Web Content Management – ‎Document Management

 

 

 

Now, let’s take a final look at Samuel DuBose   molecule information  database.

 

Shooting of Samuel DuBose – Wikipedia, the free …

https://en.wikipedia.org/wiki/Shooting_of_Samuel_DuBose

Wikipedia

The shooting of Samuel DuBose occurred during a traffic stop for a missing front license plate on July 19, 2015, in Cincinnati, Ohio. Ray Tensing, a white …

 

 

bose 88766

Nature’s SYMBOL MACHINE is comprised of  nouns, verbs, concepts, math equations,  flowcharts, etc.  The ideas found in math and science textbooks are part of the SYMBOL MACHINE.

A  5th state of matter ….. serious matters ……  serious social philosophy analysis ………… the SYMBOL LIFE and its social science  activity ….     information content …    of matter

 

 

 

Bose –>  Darwin molecular  proper noun selection of  –> DuBose

Condensate –> subset letters –> CO  –> select C = Cincinnati   O = Ohio

 

Here is the Slow Motion, Frame by Frame Version of the …

 

sam hengel bose

 

 

photographyisnotacrime.com/…/here-is-the-s…

Photography is Not a Crime

Jul 30, 2015 – The University of Cincinnati police shooting of Samuel Dubose … repeated his stance that Tensing, who had reached into DuBose’s car window ..

 

Tensing, who had reached into DuBose’s car window ..

Tensing, who had reached into DuBose’s car window ..

Tensing, who had reached into DuBose’s car window ..

 

Tensing …

Tens   –> tensor space/time  on EARTH and its contents

 

tensor%20space%20herman%20weyl

Space, Time, Matter – Dover Publications

store.doverpublications.com/0486602672.html

Dover Publications

By: Hermann Weyl … From this the nature of the amalgamation of EARTHLY  space and time  and its human contents  and human bull-story explanations    is derived. …

Dr. Weyl’s introduction of the concept of tensor-density as a magnitude of quantity (contrasted with tensors which are considered to be magnitudes …

 

 

Weyl tensor ….. the Tensing application – Wikipedia, the free encyclopedia

https://en.wikipedia.org/wiki/Weyl_tensor

Wikipedia

In differential geometry, the Weyl curvature tensor, named after Hermann Weyl, is a measure of the curvature of spacetime

and

the curvature of  biased, incomplete newspaper  explanations about reality signaling EVENTS or, more generally, …

 

 

 

 

Tensing, who had reached into DuBose’s car window ..

Tensing, who had reached into DuBose’s car window ..

Tensing, who had reached into DuBose’s car window ..

 

DuBose’s car window ..

DuBose’s car window ..

DuBose’s car window ..

DuBose’s  secret  carbon atom   window ..

 

atomic mass carbon

 

DuBose’s car window ..

DuBose’s car window ..

DuBose’s car window ……. carbon social manipulation rackets

DuBo …….car

Duplicate Boston Carmen …  atomic woman Carmen Ortiz   ….

and the Harvard LAW School and Department of Justice problems

in atomic social science legal policy   …….

per Nature’s periodic  atomic table of elements of life and thought

 

carmen boston

 

Carmen Ortiz

Car………Ort –> carbon orbitals  interface with  Z (atomic number of positive protons and vertical Z-axis geometry,  the Z ideal of abstract algebra, and the  Zbigniew Brezinski  complex number Z  = a + bi.

 

Zbigniew Brzezinski Facts for the Justice Department  about Z and Dz (agent Dz Tsarnaev) – Biography – YourDictionary

biography.yourdictionary.com/zbigniewbrzezinski

Zbigniew Brzezinski (born 1928) was assistant to the president of the United States for national security affairs during the Carter administration (1977-1980).

 

the Carter administration

the Carter administration

the Car + ter  –> carbon  tiers of expression

…….  the organic chemistry ……….  social chemisty administration

 

 

 

 

Officer Ray Tensing Fatally Shoots Sam DuBose in Cincinnati

heavy.com/…/ray-tensing-samdubose-video-body-cam-police-shooting-…

Jul 29, 2015 – Tensing then reaches into the car and toward the keys.

 

 

 

Tensing then reaches into the car and toward the keys.

Tensing then reaches into the car and toward the keys.

Tensing  ………………..   reaches into the carbon   …..              keys.

Tensing molecules …  rch –>  rch reaches  –>  carbon   keys.

 

RCH richie reactive site organic

 

 

Tensing then reaches into the car and toward the keys.

Tensing then reaches into the car and toward the keys.

Tensing  ………………..   reaches into the carbon   …..              keys.

 

 

Tensing then reaches into the car and toward the keys.

Tensing then reaches into the car and toward the keys.

Ten………………………   reaches into the carbon   …..  numeric  keys.

Ten

Ten  ..decimal number system …ten = 10

 

Shooting of Samuel DuBose – Wikipedia, the free …

https://en.wikipedia.org/wiki/Shooting_of_Samuel_DuBose

Wikipedia

The shooting of Samuel DuBose occurred during a traffic stop for a missing front license plate on July 19, 2015, in Cincinnati, Ohio. Ray Tensing, a white …

 

 

 

DuBose occurred during a traffic stop

DuBose occurred during a traffic stop

DuBose occurred during a traffic ..   social chemistry stopper

glass stopper virginia tech

 

July 19, 2015

July 19, 2015

July 19, 2015

 

 

Ten………………………   reaches into the carbon   …..  numeric  keys.

Ten

Ten  ..decimal number system …ten = 10

July –> 7th month …  number 7  …. approximate number range

 

19 –> number 19 approximate range of molecule numbers

20 –> number ….. 20 standard amino acids and 20/20 optical vision KNOWLEDGE ….. basic math,  chemistry and biochemistry requirements

15 –> some molecular number range

 

 

Molecule numbers of C = Cincinnati carbon atoms

organic molecule bose gasoline

 

July ……  7th month in C = Carbon  molecule  continuum of Nature’s organic chemistry existential platform.

 

 

 

 

gasoline 5

 

Above, the molecular 38th parallel code  … and the organic chemistry expression  WAR in Korea .

organic chemistry 4

 

 

bose samuel dubose

carmen  boston

bose -einstein

 

 

gasoline 3

 

 

 

diesel fuel virginai tech death organic

 

 

 

July 19, 2015

July 19, 2015

July 19, 2015 ……  Nature’s created event to generate a message database for

molecular social chemistry researchers

 

Tensing…………….   reaches into the carbon   …..  numeric  keys.

Ten

Ten  ..decimal number system …ten = 10

July –> 7th month …  number 7  …. approximate number range

19 –> number 19 approximate range of molecule numbers

20 –> number ….. 20 standard amino acids and 20/20 optical vision KNOWLEDGE ….. basic math,  chemistry and biochemistry requirements

15 –> some molecular number range

 

Thus we have  number ranges   ….

low end  –>  7  thru 10 and

upper end  –>  15 thru 20  ………..

giving us gasoline used by cars /motor vehicles ……….

 

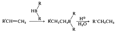
gasoline octane  heptane

 

 

 

USS   C ole ….

C = Carbon 12  message …

Octane demo in October….

on the  carbon 12 atomic mass …. mass communications message delivery day  –>

Cole bombing – Wikipedia, the free encyclopedia

https://en.wikipedia.org/wiki/USS_Cole_bombing

Wikipedia

On the morning of Thursday, 12 October 2000USS Cole, under the command of Commander Kirk Lippold, docked in Aden harbor for a routine fuel stop.

USS Stark incident – ‎USS Cole (DDG-67) – ‎USS Cole bombing video

Thus we see   ..   the Pentagon, Department of Justice,  newspaper editors and reporters  ….. all deny the existence of  the periodic atomic table   and carbon  …  and its influence in our lives.

Even  the 2-eared humans that belong  to the  science organizations   ..  remain silent    …….  chicken brains and cowards that  will not speak up ….

about  the  SOCIAL SCIENCE wars  in year 2015.

organic chemistry 4

Thomas Kuhn and the Science Wars. Postmodern … – jstor

www.jstor.org/stable/4028042

JSTOR

Book reviews. 99 from science, in that it is attentive to what is local, contingent and concrete, but as valuable as science. This is the part of the book where the.

The Science Wars – Cardiff University

www.cardiff.ac.uk/socsi/…/sciencewars.html

Cardiff University

This page by Harry Collins explains the ‘science wars‘, which began in the early 1990s with attacks by natural scientists or ex-natural scientists who had …

How Do You Know You’ve Alternated?

math.bu.edu/people/nk/rr/hc.pdf

Boston University

by H Collins – ‎2004 – ‎Cited by 14 – ‎Related articles

scientists and they are far from settled among our community. Exactly the …. Address: KES, Cardiff School of Social ScienceCardiff University, The. Glamorgan …

You can’t follow the science wars without a battle map

www.economist.com/node/109188

The Economist

Dec 11, 1997 – Though the science wars had burst on the university world years earlier, the …. Harry Collins of the University of Cardiff finds scientists often …

Karl Popper: Metaphysics and epistemology

https://books.google.com/books?isbn=0754653765

Ian Charles Jarvie, ‎Karl Milford, ‎David W. Miller – 2006 – ‎Philosophy

Ian Charles Jarvie, Karl Milford, David W. Miller. 26 Science Wars Remarks from a Critical Rationalist’s Point of View* Rarsten Weber 1 The beginning of Science …

The Two Cultures – Wikipedia, the free encyclopedia

https://en.wikipedia.org/wiki/The_Two_Cultures

Wikipedia

The Two Cultures is the title of the first part of an influential 1959 Rede Lecture by British scientist and novelist C. P. Snow. Its thesis was that “the intellectual life …

The lecture – ‎Implications and influence – ‎Antecedents – ‎See also

[PDF]The Two Cultures and the Scientific Revolution – Center for …

sciencepolicy.colorado.edu/students/envs_5110/snow_1959.pdf

by IIIASN LUDDITES – ‎Cited by 2200 – ‎Related articles

THE TWO CULTURES. It is about three years since I made a sketch in print of a problem which had been on my mind for some time.1 It was a problem I could …

 

 

 

 

 

 

 

 

 

Heptane and cab   for Cab Callowy and  the black community  

 Wikipedia, the free encyclopedia

https://en.wikipedia.org/wiki/Heptane

Wikipedia

Skeletal formula of heptane of all implicit carbons shown, and all explicit …. of isooctane in heptane and is listed on pumps for gasoline dispensed in the United …

Flash point‎: ‎−4.0 °C (24.8 °F; 269.1 K)

Density‎: ‎0.6795 g mL−1

Boiling point‎: ‎98.1 to 98.7 °C; 208.5 to 2…

Melting point‎: ‎−91.0 to −90.1 °C; −131.7 ..

 

 

 

 

 

 

 

 

 

 

 

 

Above, the super-symmetry existential  molecular  MIRROR  ……

advanced gasoline  filled  with   so  many  impurities …  Nature’s brain SYMBOL ENGINE  can’t function properly.

 

 

SYMBOL MACHINE keyword   ……..  gasoline.

 

Gasoline –> subset codes –> gas  + O  + line  –>   ouput gas from the lungs with vocal chord words + OPEN MOUTH + line of English language sentences ……   filled   with concepts,  math logic errors, contradictions, etc.

 

 

 

Thus you have come Clues about  Nature’s WAR with human communities and their arrogance        …. in ignoring Nature’s social engineering policies and Nature’s  questions.

 

 

ignoring Nature’s

ignoring Nature’s

ignoring Nature’s ……

….nor  –> norway   is

…noring

..snoring …. the brain physically alive and brain dead of Norway   …..

refuse to help explain the Utoyea shooting and the  HOLE problems ……..

Nature  questions about human mouth holes, earn holes, rectum holes, bullet holes, etc.

 

 

Utøya – Wikipedia, the free encyclopedia

https://en.wikipedia.org/wiki/Utøya

Wikipedia

Detailed map of Tyrifjorden, with Utøya encircled in red … listen)) is an island in the Tyrifjorden lake in Hole municipality, in the county of Buskerud, Norway.

/>

Hole, Norway – Wikipedia, the free encyclopedia

https://en.wikipedia.org/wiki/Hole,_Norway

Wikipedia

The municipality of Hole was established on 1 January 1838 (see … camp, which took place on Utøya in Hole, was attacked as part of the 2011 Norway attacks.

s=”image_block”>

 

The municipality of Hole

The municipality of Hole

The municipality of Hole

The municipality of Hole ..   and a hole in your head   ….. Cincinnati signal for brain arrogant …  news editors and reporters.

Cincinnati Cop Indicted and Fired as Video of Samuel Dubose

https://news.vice.com/…/cincinnati-cop-indicted-and-fired-as-video-

Vice

Jul 29, 2015 – A Cincinnati grand jury indicted the white University of Cincinnati police officer who shot unarmed black man Samuel Dubose in the head …

s=”image_block”>

 

 

Need like a hole in the head – Idioms by The Free Dictionary

idioms.thefreedictionary.com/need+like+a+hole+in+the+head

Have neither a need nor a desire for something, as in I needed that extra work like I need a hole in the head. … [Slang; c. 1940]. See also: headhole, in, like, need, the. The American Heritage® … if you say you need something like a hole in the headyou mean you do not need it and … Feed your brain, feed a hungry child.

The Cincinnati Enquirer – Wikipedia, the free encyclopedia

https://en.wikipedia.org/wiki/The_Cincinnati_Enquirer

Wikipedia

The Cincinnati Enquirer, a daily morning newspaper, is the highest-circulation print publication in Greater Cincinnati (Ohio) and Northern Kentucky.

Circulation‎: ‎111,000 Daily; 214,000 Sun…

Publisher‎: ‎Rick Green

Editor‎: ‎Carolyn Washburn

 

…in other words ……….

§7: THE DATA OF ETHICS (1879) by Herbert Spencer

fair-use.org/herbertspencer/the-data-of-ethics/s.7

… in correspondence with external coexistences and sequences; and still more …

said to be the continuous adjustment of internal relations to external relations.

s=”_qgd” data-ved=”0CEAQsz0oAjADahUKEwiV7Lmv2tHHAhUEKh4KHQoZAsk”>

The Cincinnati Enquirer – INTERNAL  biology newspaper ….version

Wikipedia, the free encyclopedia

https://en.wikipedia.org/wiki/The_Cincinnati_Enquirer

Wikipedia

The Cincinnati Enquirer, a daily mourning newspaper about funerals, is the highest-blood-circulation print publication in Greater Cincinnati (Ohio) and Northern Kentucky.

Blood /Hepatology SYMBOL LIFE Circulation‎: ‎111,000 (binary code 0011 1000)

Daily; 214,000 Sun…

 

Publisher‎: ‎(T)Rick Green ….. Botany cholorophyll pigment .. cellulose  communications agent

 

Editor‎: ‎Carolyn Washburn

Owner(s)‎: ‎Gannett Company; (Enquirer .

 

 

Kentucky.

Kentucky.

Kentucky –> state code for Kentucky is Ky   …

thus we have a recursive feedback equation  Kentucky –> Ky = Kentucky.

 

 

 

 

 

Redneck Slang Words – English Grammar Rules & Usage

grammar.yourdictionary.com/slang/redneck-slang-words.html

Check out these 50 redneck/southern slang words and colloquial phrases. … it seems that “Southerner” and “redneck” have become nearly synonymous. … in the head – Obviously you do not need a hole in your head; it’s even bad for you.

Ya Gotta Know It!: A Conversational Approach to American …

https://books.google.com/books?isbn=1426945280

Hania Hassan – 2010 – ‎Education

A Conversational Approach to American Slang for the ESL Classroom Hania Hassan. TALK IT … Why do you need this like you need a hole in the head? Have you … to fly over your head until you have figured out the meanings of the terms? 9.

/>

American Slang: Cultural Language Guide to Living in the USA

https://books.google.com/books?isbn=1594040176

Joseph Melillo, ‎Edward M. Melillo – 2005 – ‎Language Arts & Disciplines

Home Hole in one’s head/Hole in the head: 1) something completely unwanted or … I don’t know how you didn’t realize it; you have to have a hole in your head not to see it. … He has a holier-than-thou attitude that many do not find appealing.

I don’t know how you didn’t realize it; you have to have a hole in your head not to see it.

I don’t know how you didn’t realize it; you have to have a hole in your head not to see it.

I don’t know how you didn’t realize it; you have to have a hole in your head not to see it.