RD-blog-number-6174A Part 2 by Herb Zinser
Bose-Einstein condensate military SYMBOL MACHINE defends the atomic EVANS Constitutional Legal Requirements
The evolution of REALITY, SYMBOL MACHINEs, and the perceptions of LAW
This blog post continues analysis …..
The next Bose-Einstein Condensate conflict ………….
……………Bos co …………..
……………Boston ………..Carmen Ortiz and the Department of Justice omission of empirical data and evidence from the Boston Marathon bombing trial of Tsarnaev.
Boston Bombings – News, Pictures & Videos – CBS News
www.cbsnews.com/boston–bombings/
CBS News
Complete coverage of the April 15, 2013 attack on the Boston Marathon, the investigation, and the trial of Dzhokhar Tsarnaev.
iv>

U.S. Attorney Carmen Ortiz speaks to the news media with Boston Police Commisioner William B. Evans (L) after the sentencing of Boston Marathon bomber …
Carmen Ortiz and William Evans have failed to disclose their atomic, bio-physics identity and the more TRUE NATURE of the TRIAL
Carmen and Evans .. their secret Isaac Asimov psychohistory energy equation
……..en………ev

PhysicsLAB: Energy-Level Diagrams
dev.physicslab.org/Document.aspx?doctype…EnergyLevelDiagrams…
Using the Bohr Model, the energy levels (in electron volts, eV) are calculated with the formula:
En = –13.6 (Z2/n2) eV. where Z is the atomic number and n is the …
In addition ….. William EVANS and the atomic bio-physics nucleus heritage of his body and brain ….. a heritage that he denies.

Thus the Department of Justice has refused to identify and explain who these people in BOSTON are ….. and what their electron volt EDUCATION credentials are …. and theri ability to pass the the atomic social science legal test ….
Washington University Law | Evan A. Evans Constitutional …
law.wustl.edu/m/content.aspx?id…
Washington University School of Law
The University of Wisconsin Law School Moot Court Board is pleased to announce that it will host its annual Evan A. Evans Constitutional Law Moot Court …
/>
IIT Chicago-Kent wins Evan A. Evans Constitutional Law ,,,,,,, with Boston William Evans …
www.kentlaw.iit.edu/…/evan-a-evans–con…
Illinois Institute of Technology
Mar 21, 2013 – The IIT Chicago-Kent College of Law team of Zeke Katz ’14 and Jack Marshall ’13 won the 2013 Evan A. Evans Constitutional Law Moot Court …
iv>
US attorney Carmen Ortiz defends action in Aaron Swartz MIT hacker case
Secret codes and lies at the TRIAL ……..
Carmen Ortiz ……
Car……. Ort i z –> Carbon orbitals interface Z (atomic number) … .

Aaron Swartz ……
Aa ron S war t z
area electron System war t z
the probability distribution area electron SYSTEM war

Nature and existential physics VERSUS US attorney Carmen Ortiz, the myopic non-science Spanish language, and the Department of Justice in-bred mentality
….as explained in the year 1959 TWO CULTURES lecture by C.P.Snow.
The Two Cultures – Wikipedia, the free encyclopedia
https://en.wikipedia.org/wiki/The_Two_Cultures
Wikipedia
The Two Cultures is the title of the first part of an influential 1959 Rede Lecture by British scientist and novelist C. P. Snow. Its thesis was that “the intellectual life of the whole of western society” was split into the titular two cultures — namely thesciences and the humanities — and that this was a major hindrance to solving the world’s problems.
Thus we have some examples of Bose-Einstein condensate ………… military signaling EVENTS in social science tragic signaling format.
Finally, let’s review Samuel DuBose of Cincinnati and other events in Cincinnati.

Shooting of Samuel DuBose – Wikipedia, the free …
https://en.wikipedia.org/wiki/Shooting_of_Samuel_DuBose
Wikipedia
The shooting of Samuel DuBose occurred during a traffic stop for a missing front license plate on July 19, 2015, in Cincinnati, Ohio. Ray Tensing, a white …
At 6:30 p.m., on Rice Street near Thill Street,[9] Tensing stopped DuBose for failure to display a front license plate.[10] The incident was recorded on Tensing’s bodycam, which he activated before the traffic stop.[11]
Seen in the bodycam video, Tensing repeatedly requests a driver’s license and DuBose replies that he has a driver’s license, before eventually stating that he does not have it with him, causing Tensing to ask, “Are you suspended?” Tensing starts to open the driver’s door and tells DuBose to remove his seat belt. DuBose pulls the door closed and starts the engine.

Within the next few seconds, Tensing reaches into the car with his left hand, yells “Stop! Stop!”, draws his pistol with his right hand, and fires once. Tensing falls away from the vehicle which moves forward as he and two other officers run after it. It comes to a stop after about 100 yards (91 m).
Within the next few seconds, Tensing reaches into the car with his left hand, yells “Stop! Stop!”,
Within the next few seconds, Tensing reaches into the car with his left hand, yells “Stop! Stop!”,
………………………… seconds, ……………………………….. car ……….. left hand, yells “Stop! Stop!”,
translated ….
second carbon moleucle messge ..left for anlaysis … social chemsitry lab …. flask and stopper code

The second EVENT .. an organic chemsitry message site
Man shot in head at Richie’s Fast Food Restaurant in West …
raycomgroup.worldnow.com/…/man-shot-in-head-at-richies-fast-food-resta…
May 27, 2014 – Cincinnati police are investigating a shooting reported Tuesday evening in the West End.
Authorities responded at about 9:40 p.m. to Richie’s Fast Food Restaurant located in the 1300 block of Linn Street.
Police said Jariell Dean, 27, was shot in the head and taken to a nearby hospital where he later died from his injuries.

Nature’s RCH moleucle expression site using human display devices, SYMBOLS, and and locations.


Another message from RCH ..
Man shot inside Richie’s Restaurant
WCPO ABC 9 Cincinnati, OH
Oct. 31, 2010. 08:00 AM EST
A restaurant employee was shot and killed inside the Richie’s Fast Food Restaurant
in Bond Hill (molecular BOND message about molecular energy hills).

Thus we see the CONCEPT ….. the visible EARTH geography region of BOND HILL and the shooting at RCH molecule expressison site Richie’s .. reflects some INTERNAL molecular war in the orgnaic chemistry continuum.

More information about RIchie’s ……..
The astrophysics organic chemistryWAR
message from
Richie’s Fast Food in Cincinnati, Ohio
Rd-blog-number-4130 by Herb Zinser reviews the astrophysics war message for Cambridge University WEST ROAD United Kingdom.
The astrophysics galactic LOCAL REGION (Planet Earth) message originates in the United States.
The signaling EVENT ……
Man shot in head at Richie’s Fast Food Restaurant in West …
raycomgroup.worldnow.com/…/man-shot-in-head-at-richies-fast-food-resta…
May 27, 2014 –
Cincinnati police
Dathan Hall: Man charged in deadly West End restaurant …
raycomgroup.worldnow.com/…/dathan-hall-man-charged-in-deadly-west-e…
Aug 8, 2014 – The suspect accused in the shooting death of a man outside of Richie’s Fast Food Restaurant in the West End appeared in court Friday ..are investigating a shooting reported Tuesday evening in the Wes
t End.

Man shot in head at Richie’s Fast Food Restaurant in … – WIS
www.wistv.com/…/man-shot-in-head-at-richies-fast-food-restaurant-in-…
WIS
Cincinnati police are investigating a shooting reported Tuesday evening in the West …
Authorities responded at about 9:40 p.m. to Richie’s Fast Food Restaurant …
Let’s look at the message keywords and numbers
about 9:40 p.m. to Richie’s Fast Food
…….. 9:40 p.m. to Richie’s ast
year 1940 ……………………astronomy/astrophysics WAR known as World War 2
about 9:40 p.m. to Richie’s Fast Food
about 9:40 p.m. to R. ch …ast
year 1940 organic chemistry RCH astronomy …EARTH RCH –> EARTH .. the reactive site of organic chemistry molecular continuum war in the context of an astronomy/astrophysics military to RECAPTURE control of EARTH.


Social chemistry …..
Chemical Reactivity – Chemistry
https://www2.chemistry.msu.edu/…/react1.htm
Michigan State University
Most of these reactions occur at special sites of reactivity known as functional … It is useful to begin a discussion of organic chemical reactions with a review of ….. not be positively charged, are attracted to electron rich species or groups, which …

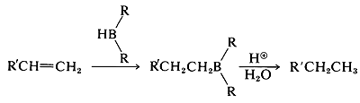
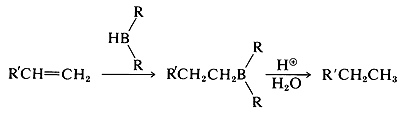
RCH ….. Darwinian molecular SYMBOL selection of Richie’s at the WEST END … for the message generating EVENT and its proper noun routing codes –> RCH WEST ….. send to INTELLECTUAL reactive site on WEST ROAD.

Alcohol Reactivity – Chemistry
www2.chemistry.msu.edu/faculty/…/alcohol2.h…
Michigan State University
Gas phase dehydrogenations of this kind are important in chemical manufacturing, but see little use in … RCH2–OH + hot Cu RCH=O + H2 … substituent enhances the reactivity of the ring and favors electrophile attack at ortho and para sites.
attack at ortho and para sites.
attack at ortho and para sites.
attack at ortho and parallel sites –> West End –> End –> SEND message to West Road astrophysics DAMTP.


RCH ….. Darwinian molecular SYMBOL selection of Richie’s at the WEST END … for the message generating EVENT and its proper noun routing codes –> RCH WEST ….. send to INTELLECTUAL reactive site on WEST ROAD.
The Stephen Hawking Building | Gonville & Caius
www.cai.cam.ac.uk/…/stephen-ha…
Gonville and Caius College, Cambridge
… down the line, but it is decidedly apt that the beautiful new building at 5 West Road should be named … Professor Hawking lived in a Victorian villa on the same site for a number of years, where he raised his … University of Cambridge logo.
West Road
West Road
West Road
West Road

North American EVENT ….. and message routing requirements
Man shot in head at Richie’s Fast Food Restaurant in West …
raycomgroup.worldnow.com/…/man-shot-in-head-at-richies-fast-food-resta…
May 27, 2014 –
Cincinnati police
Man shot in head at Richie’s Fast Food Restaurant in West …
Man………..head of department RCH life forms Base 16 “HEX ‘F” ast –> astronomy/astrophysics in West .
Apparently the University of Cambridge in Great Britain has eaten their brains out ..like they did with Margaret Thatcher.
Great Britain
Great Britain
.. eat Br..ain
…eat Brain … the policy of British education …that will not help understand and fix the problem.
Halloween in United Kingdom – Time and Date
www.timeanddate.com › … › Holidays › United Kingdom
Time and Date
Halloween is a holiday annually celebrated on October 31. Some people hold Halloween parties on or around this date, where the hosts and … Halloween UK.
Hallowed Be Thy Name: In All the Earth | Desiring God
www.desiringgod.org/…/hallowed-be-thy-name-in-all-the-eart…
John Piper
Nov 4, 1984 – “Our Father who art in heaven, hallowed be thy name. Thy kingdom come, thy will be done, On earth as it is in heaven. Give us this day our …
hollow – Dictionary Definition : Vocabulary.com
www.vocabulary.com/dictionary/hollow
If something is hollow, it is empty on the inside
Hollow be thy name …. thy BRAIN symbol processor should be empty …so you can be dumb and arrogant ..and not communicate about the brain bio-computer cannibal subroutines …
as forwarned by David H.Clark …
subset letter code HC –> Hydrocarbon astrophysics specialist in EARTH molecule brain wars


Above code –> circinus –> cir + cin = us –> application
–> circle (Region of convergence SYMBOL O –> Ohio) Cincinnati USA


Thus David H.C –> Hydrocarbon social chemistry prediction of a cannibal problem …
now has EARTH empirical battle casualty data on the
RCH … reactive site Carbon Hydrogen.
The 2nd empirical data signal
Thus David H.C –> social chemistry prediction of a cannibal problem … cannibal –> can –> canfield Drive in ferguson Missouri.Canfield Drive – Site of Mike Brown Shooting – Becomes …
www.thegatewaypundit.com/…/canfield-drive-site-of-mike-brown-shooti…
Nov 26, 2014 – In Ferguson, Missouri, the site on Canfield Drive where robber Michael Brown was shot dead by white police officer Darren Wilson is becoming …

Gateway Arch – Wikipedia, the free encyclopedia
en.wikipedia.org/wiki/Gateway_Arch
Wikipedia
The Gateway Arch is a 630-foot-tall (192 m) monument in St. Louis, in the U.S. state of Missouri. It is also 630 feet wide. Clad in stainless steel and built in the …
Catenary – Eero Saarinen – Jefferson National Expansion
Gateway arch –> signal code –> Information logic gate …Milky way … systems architecture WAR site

Hence, we see the shooting at Canfield Drive is a message about astronomy DEFENSE project SS433 and the cannibal galaxy attack …such as the skirmish in the ST,Louis Area …with the arch … a symbol of the architecture of Planet Earth SPACE/TIME CMS systems ..Content Management Systems which include humans, communities, countries and their people, and human governments and institutions.
Content management system – Wikipedia, the free …
en.wikipedia.org/wiki/Content_management_system
Wikipedia
A content management system (CMS) is a computer application that allows publishing, editing and modifying content, organizing, deleting as well as …
List of content management – Web Content Management – Document Management
More information ……
January 21, 2015
The RCH NIXON … organic chemistry continuum
Let’s look at the Richard Nixon code and then at an application example from Cincinnati, Ohio.

Nature’s SYMBOL MACHINE languages, equations, and concepts suggest the translation ….
RICHARD –> subset letters –> RCH –> R + CH –> Reactive site Carbon Hydrogen entities

NIXON –> subset code –> N X N –> an N by N square matrix –> in addition … it implies a rectangular matrix

Spiro Agnew –> Spiro –> subset –> ro –> row …. such as rows and columns
Agnew –> Ag –> Agriculture –> farm land …coordinates /grid of the EARTH geography surface ..land on farms and in cities ….. all included in the surface map grid / template
Thus the project announced by Richard NIXON and Spiro Agnew ….. that .. human RCH organic chemistry entities existing on the Earth GEOGRAPHY SURFACE have a location / coordinates.
Given this model of REALITY … the year 1968 / 1970 project ..let’s look at an example VIA its generated EVENT … an attention getting database … signaling EVENT.
Man shot in head at Richie’s Fast Food Restaurant in West …
raycomgroup.worldnow.com/…/man-shot-in-head-at-richies-fast-food-resta…
May 27, 2014 – Cincinnati police are investigating a shooting reported Tuesday evening in the West End.
Man shot in head at West End restaurant dies – Cincinnati …
www.cincinnati.com/story/news/crime/…/shooting-at-richies/9651365/
May 28, 2014 – A 27-year-old man shot in the head Tuesday night in the parking lot of Richie’s Restaurant on Linn Street died Wednesday, Cincinnati police …

Thus the organic chemistry SIGN above …stating that this fast food site is a RCH site.



Thus we had an RCH elimination …organic chemistry –> social and economic chemistry.
Dathan Hall: Man charged in deadly West End restaurant …
https://secure.fox.com/…/dathan-hall-man-charged-in-deadly-west-end-rest…
The suspect accused in the shooting death of a man outside of Richie’s Fast Food … in deadly West End restaurant shooting – Cincinnati News, FOX19-WXIX TV.
Dathan Hall:
Dat ….code Dalton
John Dalton – Wikipedia, the free encyclopedia
en.wikipedia.org/wiki/John_Dalton
- Wikipedia
John Dalton FRS (6 September 1766 – 27 July 1844) was an English chemist, physicist and meteorologist. He is best known for his pioneering work in the …
- John Dalton | Chemical Heritage Foundation
www.chemheritage.org/…/dalton.aspx
Chemical Heritage Foundation
John Dalton was one of the most important people in the history of chemistry. He established a theory of atoms that he published in “A New System of Chemical ..
Dathan Hall:
Dathan Hall:
Dathan Hall:
Hall Research Group – Department of Chemistry – University …
www.chem.ualberta.ca/~dhall/frame.html
University of Alberta
Hall Group, Summer 2012, CCIS building. From left to right:
pearsonschool.com: Prentice Hall Chemistry ©2008
www.pearsonschool.com/redirect.cfm?programID=28644
Scott Foresman
Prentice Hall Chemistry meets the needs of students with a range of abilites, diversities, and learning styles by providing real-world connections to chemical
school.com: Prentice Hall Chemistry ©2008
school.com: Prentice Hall Chemistry ©2008
school.com: APPrentice Hall Chemistry ©2008
school.com: APPrentice Dalton Hall Chemis….try
Dathan Hall:
Dathan Hall:
Dathan Hall:
Below, the reactive site of the social chemistry … message processing experiment

Man shot in head at Richie’s Fast Food Restaurant in … – WIS
www.wistv.com/…/man-shot-in-head-at-richies-fast-food-restaurant-in-…
WIS
Cincinnati police are investigating a shooting reported Tuesday evening in the … p.m. to Richie’s Fast Food Restaurant located in the 1300 block of Linn Street.
Fast Food Restaurant located in the 1300 block of Linn Street.
F –> Base 16 hexadecimal Food Restaurant

Man shot in head at Richie’s Fast Food Restaurant in … – WIS
www.wistv.com/…/man-shot-in-head-at-richies-fast-food-restaurant-in-…
WIS
Cincinnati police are investigating a shooting reported Tuesday evening in the … p.m. to Richie’s Fast Food Restaurant located in the 1300 block of Linn Street.
located in the 1300 block of Linn Street.
located in the 1300 block of Lin ..nn Street.
located in the 1300 DATA block of Line n x n square matrix Street –> Linn –>
referback to the 16th President of the United States …..
President Linn –> Lincoln –> Lin + col + n –> Line column n –> Linear algebra grid of the Illinois land in year 1860.

Thus Nature’s system project started with the Base 16 hexadecimal President …
and then 100 yeras later around 1960 thru 1970 …… NIxon represented part of another project milestone.

Thus in August of year 2014…we have the data generating event …
CINCINNATI, OH (FOX19) –
The suspect accused in the shooting death of a man outside of Richie’s Fast Food Restaurant in the West End appeared in court Friday morning.
Dathan Hall, 21, was arrested Thursday night and charged with murder in the death of 27-year-old Jariell Dean last May. He’s being held on a $500,000 bond.
Police said Dean was shot May 27 in the parking lot of Richie’s at 1301 Linn Street, causing him to crash his vehicle into the restaurant.
Dean suffered a gunshot wound to the head and later died at the hospital.
Hall appeared in a Hamilton County courtroom at 9 a.m. Friday for arraignment. The case was scheduled to go before a grand jury August 18.
appeared in a Hamilton County courtroom
appeared in a Hamilton County courtroom …
The Cayley-Hamilton Theorem and the Matrix … – MIT
web.mit.edu/2…/CayleyHamilton.p…
Massachusetts Institute of Technology
The matrix exponential eAt forms the basis for the homogeneous (unforced) and the forced … The Cayley-Hamilton theorem states that every matrix satisfies its.
The matrix exponential eAt forms
The matrix exponential eAt forms
The matrix exponential –> eAt forms
—> at Richie’s fast food restaurant
..food for thought ……… food for organic chemistry and math INTELLECTUAL thoughts
Thus ..in year 2015 ..we have some data clues about Nature’s puzzling message EVENT.
.
RD-blog-number-4132 by Herb Zinser reviews the President Richard Nixon model of the EARTH organic chemistry continuum and its EARTH geography coordinates ….. linear algebra matrix coordinates … rows and columns needed for COMPUTER EARTH data record processing.