RD-blog-number-5058  by Herb Zinser

The EARTH Nikola Tesla vibrations WAR message
for MIT and Boston

Modern geography messages

from Nature’s systems

This blog post reviews the Tesla vibration war on EARTH and the Tesla virus (T-virus).

The signaling  event that provides data on the T-virus …..

 

Boston Marathon bombings

The Boston Marathon bombings and subsequent related shootings were a series of attacks and incidents which began on April 15, 2013, when two pressure cooker bombs exploded during the Boston Marathon at 2:49 pm EDT, killing 3 people and injuring an estimated 264 others.[4] The bombs exploded about 12 seconds and 210 yards (190 m) apart, near the finish line on Boylston Street.

The Federal Bureau of Investigation (FBI) took over the investigation, and on April 18, released photographs and a surveillance video of two suspects.The suspects were identified later that day as Chechen brothers Dzhokhar Tsarnaev and Tamerlan Tsarnaev.

 

To  deliver the complex  T-virus PROBLEM message ….. Nature’s SYMBOL  MACHINE  used  proximity message  techniques and parallel  processing to SELECT  a proper noun profile that best told the message –> T  – virus.

 

 

Thus the Darwinian selection of  …..

agent for  virus message –> word –> Virus –> V  + i  + rus  –> Vector interface  Russian

Nature’s code word –> Russian –> Ru + ssi + an –> Request Unit (VTAM SNA )  storage-storage-instruction atomic number

T –> Tsarnaev  –> messenger RNA

mRNA / messenger RNA | Learn Science at Scitable – Nature

www.nature.com/scitable/definition/mrnamessengerrna-160

Nature

Messenger RNA (mRNA) is a subtype of RNA. An mRNA molecule carries a portion of the DNA code to other parts of the cell for processing. mRNA is created .

>

 

T e s l  a  –>  subset letters –>  Tsarnaev

–> Nature’s messenger RNA ….. for

 

 

 

  • FYI

     3 days ago – Famous Serbian-American inventor Nikola Tesla was born on July 10, 1856, in what is now Smiljan, CroatiaTesla’s interest in electrical  ...

    />

“g” style=”line-height: 1.2; margin: 0px 0px 23px; padding: 0px; border: 0px; list-style: none; font-size: small; font-family: arial, sans-serif;”>

The Tesla war zone in Croatia

under President Bill Clinton

 

 

Battle of Vukovar

The Battle of Vukovar (CroatianBitka za VukovarSerbian: Битка за Вуковар, Bitka za Vukovar) was an 87-day siege of Vukovar in eastern Croatia by the Yugoslav People’s Army (JNA), supported by variousparamilitary forces from Serbia, between August and November 1991. Before the Croatian War of Independence the Baroque town was a prosperous, mixed community of CroatsSerbs and other ethnic groups. As Yugoslavia began to break up, Serbia’s President Slobodan Milošević and Croatia’s PresidentFranjo Tuđman started to pursue nationalist politics

Croatian War 1991 Vukovar destruction

Map of the EARTH geography region  ………

 

A street of ruined buildings with rubble strewn across the road. A red tractor and

 

Battle of Vukovar

 

 

The JNA began to intervene in favour of the rebellion, and conflict broke out in the eastern Croatian region of Slavonia in May 1991. In August, the JNA launched a full-scale attack against Croatian-held territory in eastern Slavonia, including Vukovar.

Vukovar was defended by around 1,800 lightly armed soldiers of the

Croatian National Guard (ZNG)

and civilian volunteers, against 36,000 JNA soldiers and Serb paramilitaries equipped with heavy armour and artillery. During the battle, shells and rockets were fired into the town at a rate of up to 12,000 a day

 

Wardenclyffe Tower

Wardenclyffe Tower

Wardenclyffe Tower

Wardenclyffe Tower

War……………Tower

Wardenclyffe Tower

Wardenclyffe Tower

The Vukovar water tower

Heavily damaged in the battle, the tower has been preserved as

a symbol of the

Wardenclyffe Tower

conflict

 Croatia WAR ZONE .. the  region that Nikola Tesla was born.

 

 

  1. in other words …………
  1. A  vibration sent through the earth
    A  vibration sent through the earth
    A  vibration sent through the earth
    A  vibration sent through the earth
    A  vibration sent through the earth  ………..
  2. During the TESLA wars ……Croatia battle, shells and rockets were fired into the town at a rate of up to 12,000 a day  ..hence, the EARTH quaked  ..the EARTH ground /land surface … vibrated
  3. War in Bosnia – Office of the Historian

    Office of the Historian

    Oct 31, 2013 – Bosnia’s declaration of independence from Yugoslavia in 1992 raised the violence to a new level, triggering a war that lasted over three years  …

  4. Bosnian Genocide – Facts & Summary – HISTORY.com

    History

    Find out more about the history of Bosnian Genocide, including videos, interesting …during the war in Croatia that followed, the Serb-dominated Yugoslav army  …

  5. Genocide in the 20th Century: Bosnia-Herzegovina 1992-95

    Bosnia is one of several small countries that emerged from the break-up ofYugoslavia, a multicultural country created after World War I by the victorious Western

  6.  A  vibration sent through the earth
    A  vibration sent through the earth
    A  vibration sent through the earth
    A  vibration sent through the earth
    A  vibration sent through the earth  …..

Bosnian  Genocide

……returns an “echo signature”  ….. to Boston and their tricks

 

history.com/topics/bosnian-genocide

 

History

Find out more about the history of  Boston’s ROLE in Bosnian Genocide,

including videos, interesting

…during the war in Croatia that followed, the Serb-dominated Yugoslav army

Thus we see Nature’s feedback  message……  the echo signature.

 

  ….  important infornmation omitted from the Boston trial of Nikola Tesla messenger  code  –> Tsa –>  TSA RNA EV –> Tesla messenger RNA  electron volts  .. authorized agent for Nature’s complex  ENERGY message  …

 

 

 

  • Wikipedia

  • In physics, the electronvolt (symbol eV; also written electron volt) is a unit of energy equal to approximately 160 zeptojoules (symbol zJ) or  …

    MEV – ‎GEV – ‎TEV

The Bohr atom and the Uncertainty Principle

www.physics.wisc.edu/undergrads/courses/spring08/208/…/lect23.pdf

The minimum energy (binding energy) we need to provide to ionize an H atom in its ground state (n=1) is 13.6 eV (it is lower if the atom is in some excited state.

Let’s look at another blog post that provides more data examples for researchers.

RD-blog-number-5057 by Herb Zinser reviews the Nikola Tesla sine wave oscillations WORLD WAR for control of human civilizations  …  and that includes you … unless you qualify as a  serious, thinking human that  respects  the SOCIAL CONTRACT with Nature as outlined by John Locke and others.

Newspapers print the battle database information for researchers … thus, enabling researchers  to complete the BIG PICTURE explanation of the  conflict situation.

Let’s look at another blog  post that provides some  pieces to the puzzle …. and then we will add information about the  Lake Michigan water /land interface at Oak Creek Wisconsin and Evanston, Illinois ….. and will cover the string NODE war newspaper reports with our  analysis reports.

The Z-axis and the Boston
calculus derivative DZ war zone

 

Rd-blog-number-5074 – Part 1 – by Herb Zinser
covers the sin wave and calculus ….. math and bio-math wars in the United States.

ua

Above SYMBOL MACHINE

language code orders –>  dz … ERROR rates of change in the vertical z-axis human population

Thus we have Nature’s REALITY database answer …

Dz  –> Dzdhokhar A. Tsarnaev | MIT mathematics Shooting | Boston Marathon race  …

http://www.mediaite.com/…/one-bostonmarathonbombingsuspect-d…

Mediaite

Apr 19, 2013 – Police have now confirmed that the two men involved in the shooting of a police officer at MIT and a shootout with police in Watertown, Mass.

Above SYMBOL MACHINE atomic mass words …..  example  12 –> Carbon mass 12 in the state of mass (massachusetts)

 

Boston Marathon bombings – Wikipedia, the free encyclopedia

en.wikipedia.org/wiki/Boston_Marathon_bombings

Wikipedia

Jump to MIT shooting and carjacking – [edit]. Scenes and approximate times of events of April 18–19. A few hours after the photos were released, the …

Dzhokhar & Tamerlan Tsarnaev – ‎Pressure cooker bomb – ‎2013 Boston Marathon

MIT shooting and carjacking

MIT shooting and car ….carbon code –> Jacking –> job accounting acknowledgement

 

MIT  organic chemistry BATTLE  and carbon  job  acknowledging

 

 

acknowledging – The Free Dictionary

1. To admit the
existence or truth of
: 

The molecule  doctors acknowledged that the treatment had not been .

Let’s look at another blog post that provides more pieces to the EARTH math wars and Nikola Telsa oscillation wave wars.

 

Sin wave casualties of the

 

HIERARCHY PROBLEM

 

in EARTH mathematical-physics

 

RD-blog-5073 by Herb Zinser reviews the sin wave, oscillation, and vibration battles on the EARTH geography surface ….. as Nature’s MILITARY defense forces  …. using programmable human action figures …carry out military actions …… under the guidance of Nature’s SYMBOL MACHINE languages.

 

tesla  6 energy of tsarnaev boston

 

Tesla’s oscillator – Wikipedia, the free encyclopedia

en.wikipedia.org/wiki/Tesla’s_oscillator

 

  • Wikipedia

    An oscillator that was among the exhibits  Nikola Tesla demonstrated at the World’s … Tesla also used the highly regular tunable oscillation of the device to set …

    ‎Description – ‎“Earthquake” claims – ‎References and notes – ‎See also

  • The Pentagon is Using Tesla Technology to Destroy the …

     http://www.reformation.org/pentagon-tesla-technology.html

 

While attending the Austrian Polytechnic School in Gratz, Austria,Tesla was …. so powerful that the whole structure would go into resonant oscillations of such

 

 

Os = Oscillation military headquarters  in Oshkosh, Wisconsin

using  Oshkosh corporation as a front operation …

Oshkosh prototype tactical vehicle completes Defense …

http://www.jsonline.com › Business

Milwaukee Journal Sentinel

Sep 22, 2014 – Oshkosh Corp. says its prototype Joint Light Tactical Vehicle to replace the military’s Humvee has passed a review by the NIKOLA TESLA  Defense Department agents.

 

Oslo bombing DEMO of   Nature’s oscillation military influence

On 22 July 2011 at 3:25:22 pm (CEST) a bomb detonated in Regjeringskvartalet, central Oslo, Norway.[1] The bomb was placed in a white Volkswagen Crafter[15] and parked in front of the H block,[56] housing the Office of the Prime MinisterMinistry of Justice and the Police, and several other governmental buildings, such as the Ministry of Petroleum and Energy (R4), Ministry of Finance (G block), Ministry of Education and Research (Y block) and the Supreme Court of Norway (behind the G block)

 

The (human bio-computer subroutine) driver was dressed like a police officer and had a gun in his hand. A police helmet with a face shield was covering his face. Breivik was not positively identified.[62]

The explosion started fires in the  (OSLO — >OS/JCL Base 16 Hexadecimal) H block (H-blokka) and R4, and the shock wave blew out the windows on all floors as well as in the VG house and other buildings on the other side of the square.[63] The streets in the area were filled with glass and debris. A cloud of white smoke was reported as a fire continued to burn at the Department of Oil and Energy. The blast was heard at least 7 kilometres (4.3 mi) away.

 

Thus we have the  Nature’s version

of OS –> Oscilloscope of –> Oslo Norway  and Oshkosh, Wisconsin, USA

oscilloscope

Thus we see a  SECRET word CODE  description of the EVENT in OSLO  that newspapers will not explain.

Let’s look at another blog post that provides more pieces to the EARTH  wave and electromagnetic(EM)

sin wave puzzle.

maps - sinai egypt

Above, the geography SIN wave region.  Notice, the Sinai peninsula looks like the bottom half, negative half of a sin wave. Hence, the EARTH conflicts in that geography region.

The 1956 Sinai Campaign on mathematics, physics, chemistry structures –

archive.adl.org/israel/record/sinai.html

Anti‑Defamation League

The War of Independence … The 1973 Yom Kippur War … assault on Egyptian military positions, capturing the whole of the Gaza Strip and the Sinai Peninsula.

 

 

sine wave

 

Below, Nature’s  bio-math OUTPUT  information  agents

frank sinatra mia  1966 gravity

 

Keyword codes ….

Frank –> Function Rank (hierarchy levels)

Sinatra –> subset code word–> sin –>  sin waves and harmonic sound waves

Mia –> subset code word of polynomial

Farrow –> susbet word –> arrow –> vectors and vector space

 

poly 1

Thus word ….

polynomial  ..subset code ..

…………mia –>  hence, bio-math expression –> mia farrow ..

code MIA –> math majors are MIA –> Missing in Action in the V wars

V wars –> Vectors war played out in 1970 in

the geography region of V = Vietnam

 

The other blog post  ….more information for researchers to complete.

Nikola Tesla

and

the Earth vibration war

at the Boston Marathon race

Rd-blog-number-5059 by Herb Zinser reviews the EARTH wave wars and the Boston Marathon bombing.

Boston Marathon bombings – Wikipedia, the free encyclopedia

en.wikipedia.org/wiki/Boston_Marathon_bombings

Wikipedia

The Boston Marathon bombings and subsequent related shootings were a series of attacks and incidents which began on April 15, 2013, when two pressure …

Dzhokhar & Tamerlan Tsarnaev – ‎Pressure cooker bomb – ‎2013 Boston Marathon

Let’s look at another blog post that provides an information foundation  … then we will cover the Nikola Tesla  ….  Boston geography region … EARTH war zone.

The Tesla EARTH wave battle at the SiKH Temple

RD-blog-number-5068  by Herb Zinser reviews EARTH LANGUAGES   and the   database of the SiKH Temple in Wisconsin … that provides CLUES about the Nikola Tesla oscillation wave war on  EARTH.

The tragic event at the SiKH Temple ……..

  1. Wisconsin Sikh temple shooting – Wikipedia, the free …

     en.wikipedia.org/wiki/Wisconsin_Sikh_Temple_Shooting

     On August 5, 2012, 40-year-old Wade Michael Page fatally shot six people and wounded four others at a Sikh temple in Oak CreekWisconsin. Page took his life by …

  • Incident ·
  • Victims ·

Wisconsin Sikh temple shooting  … symbol letter codes

Wisconsin Si + kh  –>  sin KHZ  –> Sin  wave KHZ 

Let’s look at another blog post that lays a foundation for the SiKH Temple and the EARTH    geography region and Nature’s  MILITARY mathematical-physics geography surface  …… sin wave war zone.

Earth Languages and their  message routing abilities

Rd-blog-number-5039 by Herb Zinser covers the the hidden world of EARTH LANGUAGES and their communications features.

Various theories about these communication systems involve are –> gravity waves interaction with humans, magnetic field interaction with iron HEMOGLOBIN protein and their thoughts, Nikola Tesla EARTH wave vibrations and the echo signature, etc.

In all cases,  some of the  messages are indirectly visible ….. to the older and wiser person with a brain that uses the SYMBOL MACHINE.

Nature’s SYMBOL MACHINE is comprised of  nouns, verbs, concepts, math equations,  flowcharts, etc.  The ideas found in math and science textbooks are part of the SYMBOL MACHINE.

Using Galileo’s suggestions  of  ” 2 CHIEF WORLD  SYSTEMS”   we now perceive Sartre existentialism as partitioned into 2 or more data spaces……. the  2  CHIEF existential entities

1) physical reality of objects: concrete highways, iron  automobiles, cellulose trees, humanoids, atoms, molecules, sin waves, etc.

2) The world of symbols, concepts, process control system flowcharts, biochemistry diagrams,  math and physics equations, etc.

Maps and Territories – Rijnlandmodel

Language in Thought and Action, S.I. Hayakawa.

Chapter 2 Symbols Maps and Territories

There is a sense in which we all live in two worlds.

Let’s look at a simple  example.

I live in southeastern Wisconsin and read the  newspapers or see the news on television.

I live  west of   Milwaukee and the Milwaukee Journal newspaper  prints news about accidents, crimes, and other signaling events.  In addition ….  USA Today, Wall Street Journal, and magazines mention MAJOR attention getting events.

Event 1 occurred in Milwaukee….

2 police officers shot on south side; suspect in custody

Jun 10, 2009 – Two Milwaukee police officers were shot Tuesday afternoon on the near south … Flynn identified the officers as Bryan Norberg, 21, on the force six months, who was in satisfactory condition, and Graham Kunisch, 26, with 15 …

SYMBOL MACHINE language keywords ..

–> Two police –> subset words –> Two pol –> Two poles …EARTH NORTH and SOUTH magnetic field poles

–> Norbeg –> subset word code –> Nor + berg –> extrapolated with EARTH LANGUAGE –> North Pole and ice berg

—> Graham Kunish age 26 –> IRON atomic number 26 and the alphabet of 26 letters

…….Gra –> Grammar  26 English alphabet letters  ..and the Fe= Ferrous oxide IRON atom

BREAKING NEWS: Two Milwaukee Police Officers Shot …

http://www.620wtmj.com/enews/alerts/47955421.html

WTMJ

Jun 12, 2009 – MILWAUKEE – A suspect shot and injured two Milwaukee Police officers … Flynn identified the officers as Bryan Norberg, 21, and Graham Kunisch, 26. … and nearby Bradley High School was locked

2 police officers shot on south side; suspect in custody

http://www.jsonline.com › … › Milwaukee County

Milwaukee Journal Sentinel

Jun 10, 2009 – Two Milwaukee police officers were shot Tuesday afternoon on the near south … Flynn identified the officers as Bryan Norberg, 21, on the force six months, who was in satisfactory condition, and Graham Kunisch, 26, with 15 months on … A suspect whom Flynn identified as Julius C. Burton, 18, was arrested .

Julius C. Burton, 18, was arrested

Julius C. Burton, 18, was arrested

Julius C. Burton, 18, was arrested

nearby Bradley High

nearby Bradley High

nearby Bradley High  –> intials BH –> information pointer to the EARTH magnetic field WAR  in Milwuakee region

Above, we see the North Pole / South Pole magnetic field  ….  battle field  ….. using bio-physics human DISPLAY DEVICES that interact with the magnetic field flow lines.

Thus we see an example of Nature’s communication system  using  EARTH components  ….iron core, magnetic field, etc.

The gun with bullets that was used by MR. Burton (the shooter) was sold by Badger Guns.

Milwaukee County judge’s ruling favors officers in Badger …

http://www.jsonline.com › News › Crime

Milwaukee Journal Sentinel

Jan 30, 2014 – Norberg and Kunisch later sued Badger GunsBadger Outdoors and the owners of both businesses. A judge earlier dismissed a claim by the …

Milwaukee’s Badger Guns sued for supplying gun used to shoot cops

Yahoo News‎ – 23 hours ago

From Yahoo News: Badger Guns allegedly knew it was selling a handgun, which was used …

  • Badger Guns Sued After Milwaukee Cops Shot in the Line of Duty

Man Shot, Killed at Badger Guns – 620 WTMJ – Milwaukee’s …

http://www.620wtmj.com › News › Local

WTMJ

The shooting happened after 2:00 p.m. Tuesday afternoon at the gun and ammunition store and shooting range on the 2300 block of South 43rd Street.

Thus we see a very important EARTH LANGUAGE  address code.

–> 43rd –> reference to Max Planck time  and  its math  exponent and the    TIME HIGHWAY  I-43 that runs thru the city of Milwaukee.

In addition,  we have the Max Planck unit 3.7  with math exponent 26 –> pointer  to 37 degrees Celsius human body temperature   of  EARTH LAB specimen …  Graham Kunisch  bio-math age 26

In addition…. Earth Language number 2339 –> number 23 –> Pointer to the the living EARTH cell and the 23 chromosome war with the Boy Scouts ERRORS  ………. that resulted in the death of Sam Hengel  and his last message code –>

Wisconsin Teen Samuel Hengel Dies After Shooting Self in …

abcnews.go.com › US

ABC News

Nov 30, 2010 – A 15-year-old student, Samuel Hengel, died today after shooting himself Monday night after holding a teacher and

23 classmates hostage,

police said. … The gunman, identified as Marinette High School sophomore Sam ..

Thus we see EARTH LANGUAGE is like a communications fabric that  covers the geography /land surface of EARTH.

Then, we then have a 2nd major signaling EVENT at Virginia TECH.

Virginia Tech Shooter Identified – ABC News

abcnews.go.com › US

ABC News

Dec 9, 2011 – Next Video Virginia Tech Shooter Was Not A Student: Police … There is no known connection between Officer Deriek Crouse, who was ambushed on campus … Crouse, 39, of Christiansburg, Va., was shot and killed while performing a routine traffic stop …

Police have identified Ross Truett Ashley as the alleged gunman who fatally shot a Virginia Tech police officer before killing himself about 30 minutes later.

There is no known connection between Officer Deriek Crouse, who was ambushed on campus Thursday, and Ashley, 22, of Partlow, Va., police said today.

Ashley, a part-time business student at Radford University near Virginia Tech, stole a white 2011 Mercedes SUV from a real estate office in the city of Radford Wednesday, according to Radford City Police.

The keywords and number  of the event –>

age 22  (the shooter) and age 39 (the policeman) give us number 2239.

Milwuakee had number 2339 …

Number 39 is linked to potassium and the neuroscience K-chnanel.

Now, we know that the major K-channel   war occurred with code 39 –> Year 39 –> Year 1939 over the English Language channel used by  he human brain SYMBOL PROCESSOR.

This INTERNAL neuroscience conflict was played out

in EXTERNAL format on the geography surface of EARTH at the English Channel  in Europe starting in year 1939.

World War II

World War II, also known as the Second World War, was a global war that lasted from 1939 to 1945, though related conflicts began earlier. Wikipedia

Thus we have number codes  and conflict …

1939

2239 at Virginia  TECH code K –> used in  potassium intellectual word –> thinK K

2339 in Milwaukee

Then we have the secret code of Jack Benny  …age 39 LINKED to  the Virgina TECH policeman age 39

Jack Benny – Wikipedia, the free encyclopedia

en.wikipedia.org/wiki/Jack_Benny

Wikipedia

Jack Benny (born Benjamin Kubelsky; February 14, 1894 – December 26, 1974) was … In character, he would be 39 years of age, regardless of his actual age.

‎Mary Livingstone – ‎The Jack Benny Program – ‎Eddie “Rochester” Anderson

Jack Benny Annual 39th Birthday Collection | Old Time Radio

http://www.otrcat.com/jack-benny-annual-39th-birthday-collection-p-49891.ht…

However, for every year after 1933 he was forever age 39. After celebrating Jack Benny’s 39th Birthday, he decided to stay at the age 39 the next year because …

Police Officer I Deriek W. Crouse, Virginia Tech  and Jack Benny and Waukegan Illinois and North Pole Police …

Officer Down Memorial Page, Inc.

Dec 8, 2011 – Officer Deriek Crouse was shot and killed while making a traffic stop in the parking lot of … Age: 39. T

Now. we see  an EARTH LANGUAGE  link between Milwaukee Wisconsin and Virginia TECH.

Since both events  involved policeman ..we  have  the North Pole magnetic field flow line LINK.

The other  communications mechanism is the Nikola Tesla  EARTH wave vibrations between Wisconsin and Virginia.

Tesla’s Earthquake Machine – The Excluded Middle

http://www.excludedmiddle.com/earthquake.htm

For the past few years, he had pondered the sigificance of waves and resonance … A vibration sent through the earth returns an “echo signature” using the same …

Tesla’s Earthquake Machine Method @ Things Of Interest

qntm.org/tesla

Jan 10, 2011 – If you vibrate an object at its resonant frequency, it will gradually shake … the quake’s waves to reach the other side of the Earth, bounce back and return … When the echo returns, trigger another quake at that instant and at the …

Thus we have the EARTH LANGUAGE  geography/land /ground  identifier code for the

state of Wisconsin–> sin wave region.

Thus we see the Nature’s expression system with Nikola Tesla in Wisconsin.

Badger Gun address 2339 S. 43rd Street has a LINK to 2239 code of the Virginia TECH shooting.

We have  as Isaac Asimov ..Foundation series … psychohistory  … biochemistry EXTERNAL  concept equation related to the situation.

SYMBOL MACHINE keywords perceived as alpha/numeric  keywords are …………

–> B100D –> B + decimal number 100 + D

–> 100K  –> decimal number 100  K –> decimal number 100 K (link to the potassium number 39 component of  signaling  events)

Thus we have major signaling EVENT at Virginia TECH  …code age 22 and age 39 –> number 2239.

SYMBOL MACHINE keywords perceived as alpha/numeric  keywords are …………

–> B100D –> B + decimal number 100 + D

–> 100K  –> decimal number 100  K –> decimal number 100 K (link to the potassium number 39 component of  signaling  events)

Thus Virginia TECH number 2239   ADD  biochemistry/optical number 100 —> 2339 address of South 43rd Street in Milwaukee  sin wave region  linked  to Nature’s  MAX  project plan –> Max Planck physics, bio-physics, geo-physics  and  Earth quantum sin wave …. TIME HIGHWAY … Interstate I-43 that connects ……… geography states, quantum states, STATES of MIND, Markov probability transition states, Linear control system states, etc.

Now, we ask ….. what is interesting about the geography state of Virginia and EVENTS ….  that is may LINK to Nikola Tesla, electric motors and oscillations and vibrations.

Above, we have Earth LANGUAGE  electron continuum code –> VIR –> VIRGINIA and Ohm’s law..

Then we have more EARTH systems and electricity identifiers.

Additional data from another EVENT  ………

Alicia Reynolds: Route 29 murder case still unsolved | WJLA …

May 12, 2014 – Along Route 29 in Culpeper, Virginia, lies a wooden cross weathered by time, and some artificial flowers.

Along Route 29 in Culpeper, Vir

Along Route 29 in Culpeper, Vir

..long Route 29 in Cu……….. Vir  –> implies  a copper wire …..

or Nature’s equivalent of a LONG copper wire in some type of format

of Nature’s expression system   .. that scientists need to figure out..

a LONG copper wire in some type of format

a LONG ……………. in some type of format

The Tesla Longitudinal Wave – Tesla Universe

http://www.teslauniverse.com › Articles

George W. Damm suggests that Nikola Tesla incorporated acoustic resonant criteria in … Sound waves are longitudinal in nature and propagate in the form of …

Non Hertzian Waves – Nikola Tesla – Cosmic Visionary

http://www.teslaenergy.org/intro4.html

Nikola Tesla constantly wrote about what he called non-Hertzian waves. … nature of electromagnetic waves, known to some as stationary or longitudinal waves, …

Tesla waves – The Tom Bearden Website

http://www.cheniere.org/books/part1/starting%20pages.htm

Tesla repeatedly stated his waves were non-Hertzian, and his wireless …. two pair-coupled Tesla scalar longitudinal waves, and only a single special case of the …

Longitudinal wave – Wikipedia, the free encyclopedia

en.wikipedia.org/wiki/Longitudinal_wave

Wikipedia

Longitudinal waves, also known as “l-waves”, are waves in which the …. surface wave”, Nikola Tesla, Lightning observations, and stationary waves, Appendix II.

Thus we see 2 major events and their LINK  and the possible mechanism behind the  slow traveling … communications LINK The message connection may take a few months or a few  years of time …  a slow signal that may even cover 10 or 20 years between events  or more

2 police officers shot on south side;   suspect in custody

2 police officers shot on south side;   suspect in cu = copper continuum

http://www.jsonline.com › … › Milwaukee County

Milwaukee Journal Sentinel

Jun 10, 2009 – Two Milwaukee police officers were shot Tuesday afternoon on the near … Flynn identified the officers as Bryan Norberg, 21, on the carbon atomic number 6 and the social chemistry  force six months .

Above.. the  JUNE year 2009 event in Milwaukee sin wave region of Wisconsin

Below, the DECEMBER year 2011 event in the EARTH  electron continuum region of Virginia

 

The …the DECEMBER code –> DEC –> suggests ..use the DECIMAL system factor to understand the situation

SYMBOL MACHINE keywords perceived as alpha/numeric  keywords are …………

–> B100D –> B + decimal number 100 + D

–> 100K  –> decimal number 100  K –> decimal number 100 K

Armed suspect stole car before killing Virginia Tech officer …

CNN

Dec 9, 2011 – Virginia State Police on Friday identified Ross Truett Ashley, 22, as the man who killed Virginia Tech Police Officer Deriek Crouse and then …

Family Of Ross Truett Ashley, Virginia Tech Shooter, Offers …

http://www.huffingtonpost.com/…/ross-ashley-condolence…

The Huffington Post

Dec 12, 2011 – Investigators say Ashley walked up to police officer Deriek Crouse on Virginia Tech’s Blacksburg campus and fatally shot him. Ashley was …

walked up to police officer Deriek Crouse on Virginia

walked up to police officer Deriek Crouse on Virginia

walked up to police officer D …….C        on V=ir     ….. thus the policeman electron circuit configuration

Thus we have the strange   SECRET knowledge world of Virginia  and Milwaukee  ….. and    they   ain’t   talking.

Thus we have the numbers …..

Year 1939 — > numbers 19 and 39 –> world war 2 starts over the potassium atom and metabolism.

Role of Potassium in Maintaining Health | Periodic ..

hkpp.org/patients/potassium-health

Jul 17, 2011 – Potassium is a very significant body mineral, important to both cellular and … Potassium is very important in cellular biochemical reactions and  in social chemistry expression systems …

Structural Biochemistry/Membrane Proteins/Active Transport …

en.wikibooks.org/wiki/…Biochemistry/…/Active_Transport

Wikibooks

Structural Biochemistry/Membrane Proteins/Active Transport. From Wikibooks … Sodium-Potassium Pumps are an example of active transport. It is known that .

Structural Biochemistry/Membrane Proteins/Active  Transport

… and  the molecule  governemnt agency ……

Department of Transportation (DOT and Waiting for GoDOT ) | USA.gov

http://www.usa.gov/…/federal/department-of-transportation.shtml

USA.gov

The Department of Transportation is responsible for planning and coordinating federal transportation projects. It also sets safety regulations for all major modes …

The Department of Transportation is responsible for planning and coordinating federal transportation projects.

The Department of Transportation is responsible for planning and coordinating federal transportation projects.

The Department of Transportation is responsible for planning and coordinating NATURE’s federal transportation projects  in

Structural Biochemistry/   Membrane Proteins/  Active  Transport.

Ray LaHood – Wikipedia, the free encyclopedia

en.wikipedia.org/wiki/Ray_LaHood

Wikipedia

Raymond H. “Ray” LaHood (born December 6, 1945) is an American politician who served as United States Secretary of Transportation from 2009 until 2013.

Early life and education – ‎Early career – ‎US Representative

Ray LaHood

Ray La   Hood

Ray LaB Hood  –> the SOLAR SYSTEM sunlight optical ray LAB HOOD (with EARTH LAB human specimen)

 

in C = 186,000 velocity and the city of light and  its serious  symbol content

Thus we see an example of EARTH LANGUAGES ….. and the possible types that may exist and how they may work.

These languages probably existed in ancient times   ….. but can only be understood in modern times  ..because we have the knowledge database  of textbooks   … provided by physics, chemistry, computers, etc …….  consciously written, verified, and accurate science information books ….  not readily available to Julius Caesar and his engineers.

Now, let;s continue with the Nikola Tesla EARTH wave line of thought AND other types of waves ….. like electromagnetic waves from radio stations or brain waves.

Nikola Tesla – A Thorough Explanation – Token Rock

http://www.tokenrock.com/explain-nikola-tesla-35.html

Nikola Tesla, (July 9, 1856 – January 7, 1943) a Serbian immigrant, inventor, … On July 3, 1899, Tesla discovered terrestrial stationary waves within the earth.

Total  Control – Educate-Yourself.org

educate-yourself.org/mc/mctotalcontrol12jul02.shtml

Jul 12, 2002 – These ‘earth brainwaves‘ are identical to the frequency spectrum of our …. Nikola Tesla revealed in 1901 power could be transmitted through …

The Discovery of Schumann Resonance – Earth Breathing

www.earthbreathing.co.uk/sr.htm

  • Due to their extremely low frequency these waves could penetrate the earth without resistance and thereby Tesla discovered the resonance frequency of the …
  • Tesla’s Rebirth – Human-Resonance.org

     http://www.human-resonance.org/rebirth.html

“The discovery of the stationary terrestrial waves [indicates]… that, despite its vast … mathematical law, has proved beyond the shadow of a doubt that the Earth, …

Let’s look again at the SikH Temple database ..

in the Wisconsin –> sin wave region..

Wisconsin Si + kh  –>  sin KHZ  –> Sin  wave KHZ

Wisconsin Si + kh  –>  sin KHZ  –> Sin  wave KHZ and the terror /pain  / tragic event  ….

  1. Gunman Kills 6 at Sikh Temple in Wisconsin – NYTimes.com

     Aug 05, 2012 · In addition to the dead, three people, including a police officer, were injured in the attack at the Sikh Temple of Wisconsin, officials said.

  1. Gunman in Sikh temple shooting identified as ex-Army …

     Aug 06, 2012 · A 40-year-old Army veteran and suspected white supremacist who gunned down six inside a Milwaukee-area Sikh temple shot the responding officer …

Wisconsin Si + kh  –>  sin KHZ  –> Sin  wave KHZ

Wisconsin Si + kh  –>  sin KHZ  –> Sin  wave KHZ and the terror /pain  / tragic event  ….

500 kHz – Wikipedia, the free encyclopedia

en.wikipedia.org/wiki/500_kHz

Wikipedia

Since early in the 20th century, the radio frequency of 500 kilohertz (500 kHz) has been an international calling and

distress frequency for Morse code

Thus we look at Tesla information that may help us  analyze the signal from the SiKH …KHZ  sin wave WAR zone in Wisconsin sin wave region.

Notice …we a have a Hierarchy of  2 sin wave LEVELS ..in not more ………. the SiKH sin wave people agents  stand on EARTH sin wave geography ground in Wisconsin.

Keep in mind ….. the perception ..the  KHZ intials have 3 symbols   ..the SiKH Temple people have 2 symbols in their EARTH LAB identifier code.

Like high school algebra  and plane geometry ….. the x and y axis are drawn flat sheet of paper  in the classroom.

In out case,  the earth geography land (in a local area)  is relatively  flat (ignore the small hills for now  … take the airplane view of flat earth ground) .. …and is considered equivalent to a sheet of flat cellulose paper.

Thus in Oak Creek  at the Sikh Temple …..we have a x,y axis (the flat earth and the parking lot,etc).

Human people standing on 2-legs in the SiKH geography  region of Wisconsin

are standing in the   vertical Z-axis dimension  ……

thus we have  the equation SiKH + Z-axis standing  position of a human  —>  KHZ

Terrestrial stationary waves – Wikipedia, the free encyclopedia

  • It was considered by Nikola Tesla to be his most important discovery. … This resonant cavity is a particular standing wave pattern formed by waves confined in … is that, at the very low frequencies that

    Tesla said that he employed (– 50 kHz), …

  • Nikola Tesla On Wireless Energy Transmission – Tesla Radio

Apr 25, 2012 – In the other the power is transmitted by creating “standing waves” in the earth … and through the terrestrial conductor by its high current and low voltage. ….. the very low frequencies that Tesla said that he employed (150 kHz), …

Wardenclyffe Tower (1901–1917) – Tesla Community

Wardenclyffe Tower (1901–1917) also known as the Tesla Tower, was an early … of electrical pioneer Nikola Tesla located in Shoreham, Long Island, New York. …..

said that he employed

(150 kHz), earth-ionosphere waveguide excitation, now … and create a fairly definite terrestrial standing wave of a few cycles duration.

Now, let’s look at the database of the Sikh event ………….

Was the Sikh temple shooting domestic terrorism? – Yahoo …

Aug 6, 2012 – From Yahoo News: The FBI is treating a mass shooting on Sunday at a Wisconsin Sikh Temple as a possible act of domestic terrorism, officials …

Wisconsin Sikh Temple as a possible act of domestic terrorism … subset word codes

Wisconsin Sikh …….  act of terrorism

Wisconsin Sikh …….  act of terrorism ……. subset letter codes …

………. sin Si  +  kh …ac …..terr ……

………. sin Sin  +  kh …ac …..terr ……

………. sin Sin  +  kh …ac …..terrestrial  waves ……

………. sin Sin  +  kh …ac …..terrestrial  waves …

…………………………………………….trial  ..if the shooter Wade Michael Page had stayed alive

…..we would have had  the  terrestrial wave CRIMINAL TRIAL

Above, we have a partially complete concept equation …………

with existential physics, bio-physics, and geo-physics  component codes ….

sin–> sin waves or something else in the wave world  realm  …..

and  the 2 sin wave levels in one geography area  ..gives us the sin wave …. wave mechanics Hierarchy Problem in physics communications

ac–> alternating cycles …….  oscillating cycles

Kh –>  subset of the more complete code –> KHZ

Terrestrial stationary waves – Wikipedia, the free encyclopedia

It was considered by Nikola Tesla to be his most important discovery. .. This resonant cavity is a particular standing wave pattern formed by waves confined in … is that, at the very low frequencies that Tesla said that he employed (1-50 kHz), …

his resonant cavity is

a particular standing wave pattern formed by waves confined in

Notice, the above SECRET messages conveyed by the police officers  …that are standing in the vertical Z-axis.

The top secret  picture  has 2 major features….

a) word siKH …above the symbol letters KH  is a human Z-axis SIGNALING agent –> giving  KHZ

The  standing  SIGNALING  agent message —> a particular standing wave pattern formed by waves confined in … is that, at the very low frequencies that Tesla said that he employed (1-50 kHz), …

Thus the brain waves of  many people …. that talk about ….. terrorism  …. is a message about  –> terr waves.

The word stem –> terr –> gets extended by their brain waves to –> terrorism.

The more accurate  brain STEM word extension of –> terr –> terrestrial waves are involved in some  conflict /war in the the Wisconsin sin wave region.

Thus the stem word–> terr  –>  has 2 possible interpretations   …… the most likely is the terrestrial  ..trial TEST   wave MODEL of conflict   ..considering that  other EARTHLY tragic signaling events have the electron continuum  feature  … like the Virginia TECH  policeman shooting  death and the  WAR code  VIR of Ohms law of VIR –> Virginia  …with the Alicia Reynolds murder with atomic number Route 29  by Culpeper..

Above codes, number 29, Cu of Culpeper, and Orange County

  1. Wisconsin Sikh temple shooting – Wikipedia, the free …

     On August 5, 2012, 40-year-old Wade Michael Page fatally shot six people and wounded four others at a Sikh temple in Oak CreekWisconsin. Page took his life by …

  • Incident ·

And speaking of  Virgina Cu = Culpeper ….. we have the  Sikh Temple Oak Creek shooting  with the atomic Cu = Copper code of Cudahy, Wisconsin

Wisconsin Sikh temple shooting – Wikipedia, the free …

Sikh Temple of Wisconsin (Oak Creek, Wisconsin). Location … Page was an American white supremacist

and United States Army veteran from Cudahy, Wisconsin. .

An FBI official later confirmed that the police action in Cudahy, which involved numerous agencies and heavy military-style equipment, was related to the temple slayings.

An FBI official later confirmed that the police action in Cudahy,

An FBI official later confirmed that the police action in Cudahy,

An(Atomic number)       FBI (FermiLAB Batavia Illinois)    official later confirmed

that the police action in Cu = Copper atoms in city of electricity of Cudahy

that the police action

that the police action

that the police action

that the police action

Thus, in year 2015, we see some pieces to a puzzle  ….. that needs  more researcher thought   … and that’s where you come in.

Now, let’s look at the Boston Marathon bombing  … Nikola Tesla vibration war.

Boston Marathon bombings – Wikipedia, the free encyclopedia

en.wikipedia.org/wiki/Boston_Marathon_bombings

Wikipedia

The Boston Marathon bombings and subsequent related shootings were a series of attacks and incidents which began on April 15, 2013, when two pressure cooker bombs …

Dzhokhar & Tamerlan Tsarnaev – ‎Pressure cooker bomb – ‎2013 Boston Marathon

The EARTH LANGUAGE code word –> Boston ..subset word ton –> implies tons of weight …..EARTH and weight

Other EARTH  weight wars …..  ..Pound … LB…  weight TON wars and conflicts have  occurred

Pound (mass) – Wikipedia, the free encyclopedia

en.wikipedia.org/wiki/Pound_(mass)

Wikipedia

Jump to UK and US hay and straw weights – [edit]. Pound(straw) was exactly equal to 0.453592338 kg. Pound(old hay) was exactly equal to 9/14 …

Current use – ‎Historic use – ‎UK and US hay and straw weights –

Ezra Pound – Ezra Pound Biography – Poem Hunter

www.poemhunter.com/ezrapound/biography/

PoemHunter.com

Ezra Weston Loomis Pound was an American expatriate poet and critic and a …

He was held for a time in the hospital’s prison ward, Howard’s Hall, known as the …

Poetry computer code –> Poetry –> P  + o + etry –> Processing order entry …..and prison for computer messengers

Gulf of Tonkin incident – Wikipedia, the free encyclopedia

en.wikipedia.org/wiki/Gulf_of_Tonkin_incident

Wikipedia

The Gulf of Tonkin Incident (Vietnamese: Sự kiện Vịnh Bắc Bộ), also known as the USS Maddox Incident, is the name given to what were originally claimed to be …

Gulf of Tonkin Resolution – ‎USS Maddox (DD-731) – ‎DESOTO patrol

On August 2, 1964, the destroyer USS Maddox, while performing a signals intelligence patrol as part of DESOTO operations, reported being attacked by three North Vietnamese Navy torpedo boats of the 135th Torpedo Squadron.[1] The Maddox expended over 280 3-inch and 5-inch shells in what was claimed to be a sea battle. One US aircraft was damaged, three North Vietnamese torpedo boats were allegedly damaged, and four North Vietnamese sailors were said to have been killed, with six more wounded. There were no U.S. casualties.[2]

It was originally claimed by the National Security Agency that a Second Gulf of Tonkin incident occurred on August 4, 1964,

In addition, we have  …

Lyndon B. Johnson – Wikipedia, the free encyclopedia

en.wikipedia.org/wiki/Lyndon_B._Johnson

Wikipedia

Lyndon Baines Johnson often referred to as LBJ, was the 36th President of the United States (1963–1969), a position he assumed after his service as the 37th …

Lady Bird Johnson – ‎Hubert Humphrey – ‎Lynda Bird Johnson Robb – ‎Great Society

Questions for Boston universities and their SECRET TRICKS department.

Why are EZRA Pound and Ounce Abbreviated as  Presdient LB(j)  and  the  Land of OZ

mentalfloss.com/…/why-are-“pound”-and-“ounce”-abbrevia

Mental Floss

Aug 6, 2013 – So how do we get lb for “pound” and oz for “ounce”? … stood for the ancient Roman unit of measure libra pondo, meaning “apound by weight.

The Wizard of Oz (1939 potassium atomic number 19 mass 39  film) – Wikipedia, the free …

en.wikipedia.org/wiki/The_Wizard_of_Oz_(1939_film)

Wikipedia

The Wizard of Oz  (Bureau of Weights and Measures)  is a 1939 American musical fantasy film produced by Metro-Goldwyn-Mayer, and the most well-known and commercially successful adaptation …

Judy Garland – ‎Jack Haley – ‎Ray Bolger – ‎Margaret Hamilton

Thus we see in year 2015, Boston –> Bos + TON and its citizens and universities have serious awareness problems.

Let’s look at the Boston vibrations EARTH problems.

High-frequency currents – Nikola Tesla – Cosmic Visionary

www.teslaenergy.org/intro2.html

  • Nikola Tesla, a scientist of great wisdom and vision, introduced a very important … Earth consisted of different energy vibrations, and if stimulated with specific …

In the last years of the 19th century, technological alchemist Nikola Tesla may …

vibration sent through the earth returns an “echo signature” using the same ...

The 2013 Boston Marathon took place in Boston, Massachusetts on Monday April 15, 2013. It was the 117th edition of the mass-participationmarathon. Organized by the Boston Athletic Association, it was the second of the World Marathon Majors series to be held in 2013. Over 23,000 runners participated.

Over 23,000 runners participated.

Over 23,000 runners participated.

Over 23,000 runners participated …and their running feet applied pressure to the EARTH ground creating vibrations ..in their attack upon the Nikola Telsa EARTH system .

Boston Marathon bombings – Wikipedia, the free encyclopedia

en.wikipedia.org/wiki/Boston_Marathon_bombings

Wikipedia

The Boston Marathon bombings and subsequent related shootings were a series of attacks and incidents which began on April 15, 2013, when two pressure cooker bombs  …

Dzhokhar & Tamerlan Tsarnaev – ‎Pressure cooker bomb – ‎2013 Boston Marathon

 when two pressure

 when two pressure

 when two pressure  …. thus we are reminded of the sin wave HIERARCHY PROBLEM at the SiKH Temple  …

with 2 sin wave levels involved in some manner in the conflict In Wisconsin.

Here, in Boston …..we a have the 2 levels of vibrations involved in the conflict.

1) the Boston runners as they run .. the feet/TOES  cause pressure variations …. hence, creating EARTH ground vibrations.

That is level  1.

2) In addition, the 2nd level of vibrations…….. the adult female runners  ………. their body movements cause their  2 breasts to oscillate / vibrate in their sports BRA …….  accelerating the attack    …with a 2-level hierarchy of vibrations upon the EARTH ground.

Tesla’s Earthquake Machine – The Excluded Middle

Tesla’s Earthquake Machine – The Excluded Middle

Tesla’s Earth   quakes

….. with the Running Machine of Marathon Runners – The Excluded Middle

http://www.excludedmiddle.com/earthquake.htm

In the last years of the 19th century, technological alchemist Nikola Tesla may …

 

vibration sent through the earth returns an “echo signature” using the same …

Thus we see the message ..the echo signature …

when two pressure

when two pressure

when two breasts apply  to much pressure …… to EARTH systems

Thus the 2 levels of vibrations ..the breast  levels and

the foot levels  hitting the ground

This vibration structure is equivalent to the sin wave BATTLE at the SiKH Temple.

In addition,  the SikH Temple ..  the vertical  Z-axis was a factor of a standing human.

Below, we have the z-axis people in movement …… rate of change

…  in math calculus terms

The Definition of the Derivative – SOS Math

http://www.sosmath.com/calculus/diff/der00/der00.html

The Derivative. The concept of Derivative is at the core of Calculus and modern mathematics. The definition of the derivative can be approached in two different …

 The Physical Concept of the Derivative

This approach was used by Newton in the development of his Classical Mechanics. The main idea is the concept of velocity and speed. Indeed, assume you are traveling from point A to point B, what is the average velocity during the trip? It is given by

If we now assume that A and B are very close to each other, we get close to what is called the instantaneous velocity. Of course, if A and B are close to each other, then the time it takes to travel from A to B will also be small. Indeed, assume that at time t=a, we are at A. If the time elapsed to get to B is $\Delta t$, then we will be at B at time $t=a + \Delta t$. If $\Delta s$ is the distance from A to B, then the average velocity is

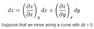
Differentials and Increments – Sinclair Community College

http://www.sinclair.edu/…/Calculus/DifferentialsAn…

Sinclair Community College

The relationship between derivatives and differentials is that derivatives have ….

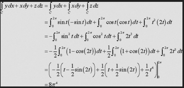
The total differential of z,    called dz,     is the approximate change in z,

defined

as…………  Dzhokhar Tsarnaev

 

 

 

[Calculus] Problem with derivatives. 

 

“Find dz” with ‘x’ and ‘y …

http://www.reddit.com/…/calculus_problem_with_derivatives_find_dz_w…

reddit

Feb 11, 2015 – What is this asking? Find *dz*: z = 3x^2 + xy – 2y^3 I know how to take derivatives and partial derivatives but to take a partialderivative, I…

 “Find dz”

 “Find dz”

 “Find dz”

An unprecedented   manhunt   

for  

 

Dzhokhar Tsarnaev

ensued on April 19, with thousands of law enforcement officers searching a 20-block area of Watertown.[13] During the manhunt, authorities asked residents of Watertown and surrounding areas, including Boston, to stay indoors.

Triple product rule – Wikipedia, the free encyclopedia

en.wikipedia.org/wiki/Triple_product_rule

Wikipedia

Derivation

An informal derivation follows. Suppose that f(xyz) = 0. Write z as a function of x and y. Thus the total derivative dz is

That is, to explicitly compute the partial derivative of x with respect to y with z held constant, one would write x as a … Thus the totalderivative dz is …

Therefore the equation for dz = 0 becomes …

 

 

…in more words …..  human agent Dz  VERSUS MIT math errors

 

 

Below we have the LINKAGE equations of the 2 events

–> the sin waves of the SiKH temple and

agent code dz  (Dzhokhar)

 

In addition we ahve the SYMBOL MACHINE Proiepr noun code –> KH ….a common denominator code …

in both words  –>

SiKH Temple  and DzhoKHar.

 

 

 

 

 

 

 

 

 

 

 

 

 

 

 

 

 

 

 

 

Laws of thermodynamics · Multivariable calculus …

Laws of thermodynamics

Laws of thermodynamics

Laws of thermodynamics

Boyle’s  law of gases …… mathematics  DEMO  on Boyleston Street ..on April 15, 2015.

Thus we have   complex  mathematics and SCIENCE WAR military action ….  expression event on April 15, 2013 in Boston…. ..and the rigged, biased  TRIAL in Boston with the omission of vast amounts of material data.

Boston Bombing Trial: Penalty Phase to Begin on April 21 …

http://www.nbcnews.com/…/bostonbombingtrial/bostonbomb

NBCNews.com

5 days ago – The penalty phase in the RIGGED  federal trial of convicted Boston Marathon ……….

Making Sense of the Science Wars – Collide-a-Scape

blogs.discovermagazine.com/…/making-sense-of-the-sciencewa

Discover

Jan 3, 2013 – One of the most trenchant observers of the science/policy interface is Daniel Sarewitz, co-director of Arizona State University’s Consortium for …

My Science Wars – Physics

www.physics.nyu.edu/sokal/fromm.html

New York University

Although a number of reviewers were scandalized that Andrew Ross and the other editors behind Science Wars were unable to recognize Sokal’s contribution …

The Science Wars – Cardiff University

http://www.cardiff.ac.uk/socsi/…/sciencewars.html

Cardiff University

In Britain the most aggressive science warrior is biologist, Lewis Wolpert

  • Beyond the Science Wars: The Missing Discourse   about …

https://books.google.com/books?isbn=0791446182

Ullica Christina Olofsdotter Segerstråle – 2000 – ‎Science

An unexpected, positive outcome of the Science Wars, however, was that also … scientists also started discussing matters in Nature and especially Physics

 

 

Now, let’s look at the  wave mechanics interface wars along Lake Michigan and its western shore line with Wisconsin and Illinois.

 

milwaukee oak creek  cudahay-1

 

Below, Milwaukee and Lake Michigan wave mechanics

lake michigan milwuake waves

Milwaukee reported the murder of a mechanics student Jake Gerard.

Weekend shooting victim hoped to become a mechanic …

http://www.jsonline.com/blogs/…/31855119.html

Milwaukee Journal Sentinel

Apr 21, 2008 –  Jake Gerard worked two jobs  to pay his way through school and had … This blog takes a closer look at murder in the city. … But Gerard, 20, was shot to death early Saturday outside a recording studio in the 2800 block of S16th St. … Police said the party occurred in space rented from Atlas Bus Sales.

Atlas Bus Sales.

Atlas Bus Sales

Atlas Bus Sales –> EARTH Atlas  data bus

 

S.  16th street –> System Base 16 hexadecimal murder

 Jake Gerard  –> Ja + Ke + Ge  –> Job accounting Geography

 

hoped to become a mechanic –> wave mechanics, quantum mechanics, sin wave mechanics, electromagnetic wave mechanics

 

worked two jobs ….. Duality principle message

Wave-Particle Duality – Chemwiki

chemwiki.ucdavis.edu/…/Wave-Particle_D

University of California, Davis

Jul 11, 2014 – In 1923, Louis de Broglie, a French physicist, proposed a hypothesis … as the Wave-Particle Duality: The property of particles behaving as waves and ….Principles and Modern Appplications Ninth Edition, Upper Saddle River, …

Police said the party occurred in space rented from Atlas Bus Sales in April 2008..

Police said the part –> particle space rented from  EARTH Atlas systems

.

Police said the party oc  –> Oak Creek code …wave code in August 2012

–> SiKH –> Si + KH –> Sin wave KHZ

 

Thus the creation of the 2nd tragic event  ….. gives gestalt completion codes to Nature’s  wave-particle duality DEMO in the greater  Milwaukee along Lake Michigan.

Keyword code –> Lake Michigan –> La + ke + mic –> Load Address Key atomic

 

Sine_Wave   3

 

 

Gunman, six others dead at Wisconsin Sikh temple – CNN.com

http://www.cnn.com/2012/08/05/us/wisconsin-templeshooting/

CNN

Aug 5, 2012 – At least seven people, including a gunman shot by a police officer, have been killed in an attack at a Sikh temple near Milwaukee. … secure the neighborhood where theshooter is believed to have lived in Cudahy, Wisconsin.

Cudahy, Wisconsin.

Cudahy, Wiscon + sin.

Cu = Copper atom ….. sin wave

 

Thus we  have community of

Cudahy, Wisconsin  near Lake Michigan ….. subset code

Cu………………….sin

picture - alter 1

In addition we have ac –> acres of  EARTH farm land around Cudahy  ..

thus we  have Nikola Tesla oscillating sine waves on Wisconsin geography land  adjacent

to

Lake Michigan water waves,

At the  SiKH Temple itself ..  we have sin wave KHZ

radio-spectrum-in-demand

 

 

Thus we have the Cu = Copper electricity waves of the city of Cudahy assign a task to the brain electron circuits human agent …….  Wade Michael  Page.

 

Thus, Nature’s version  of the oscilloscope …..  and the trigger control that equate to a gun trigger with bullets   …hence the shooting in Oak Creek between two different  formats of oscillations.

 

Cudahy FORMAT –> copper alternating cycle of electricity and AC electric motors

Oak Creek ..SiKH  Temple FORMAT –> electromagnetic oscillatting waves

oscill   4Another application of OS –> Oscilloscope controls and the trigger ….. the gun trigger used by Anders Breivik  at Utoya near Os war zone of Os Oslo and  Cope = Copenhagen.

Oscilloscope –> subset codes  –>

Os + Cope —>      Osl0, Norway and Copenhagen , Denmark

 

 

Wave-Particle Duality BATTLE at Liege – Chemwiki

chemwiki.ucdavis.edu/…/Wave-Particle_D

University of California, Davis

Jul 11, 2014 – In 1923, Louis de Broglie, a French physicist, proposed a hypothesis … as the Wave-Particle Duality: The property of particles behaving as waves and ….Principles and Modern Appplications Ninth Edition, Upper Saddle River, …

 

Louis de Broglie –> lie/errors of Liege Belgium result in ………….

2011 Liège attack – Wikipedia, the free encyclopedia

en.wikipedia.org/wiki/2011_Liège_attack

Wikipedia

On 13 December 2011, a murder–suicide attack took place in the city of Liège in the Wallonia region of Belgium. The attacker, 33-year-old Nordine Amrani, …

Attack – ‎Perpetrator – ‎Reaction – ‎References

 

Wallonia region of Belgium

Wallonia region of Belgium

Wall ……. region of Belgium …………Wall Boundary Conditions ERROR

6.3.14. Wall Boundary Conditions

http://www.arc.vt.edu/ansys_help/flu_ug/flu_ug_sec_bc_wall.html

Jun 3, 2014 – Wall boundary conditions are used to bound fluid and solid regions. … ANSYS FLUENT will neglect any normal component of wall motion that …

Picture  - belgium city

Comparison of Wall Boundary Conditions for Numerical …

Imperial College London

by IRSJ Sherwina – ‎

Apr 20, 2004 – ation of wave forces on offshore structures, where the accurate … by theboundary conditions placed on the contact walls (Dussan, 1976).

liege wall region boundary

On the Stability and Dissipation of Wall Boundary … – cerfacs

by N Lamarque – ‎2000 –

inlets and outlets, especially to avoid acoustic wave reflections. At walls, however, most authors use simple Dirichlet or Neumann boundary conditions, where …

wave oscillation  string node  polynomial roots

Thus we have rope theory of Europe  …   a  family member of  string theory  …….

thread, rope , string, fabric, etc ….. related concepts.

Thus with the Liege WALL region of the rope vibration of Europe  ….. we have the  geography country LAND node –> No + de –> Norway denmark with the cities of people –>   Os + cope –> Oslo and copehagen  ……..  comprising an Oscilloscope.

Above symbol L …might be  associated to  L = Liege  in Nature’s  hardware/ software expression system.

 

Let’s return to the United States and Wisconsin and Illinois land regions that have boundaries   with  (ato)mic –> Michigan  –> lake Michigan and its water molecule waves .

 

We covered  some of the Milwaukee region wave war  …. copper wire waves and radio waves from LAND sources and water waves of Lake Michigan …  all subset oscillation formats  …. embedded within the larger Nikola Tesla  continuum.

tesla  6 energy of tsarnaev boston

 

Next. let’s glance at Zion.

zion evanston  illinois lake sin wave oscillations

 

 

Zion Nuclear Power Station – Wikipedia, the free encyclopedia

en.wikipedia.org/wiki/Zion_Nuclear_Power_Station

Wikipedia

Zion Nuclear Power Station was the third dual-reactor nuclear power plant in the … (ComEd) network and served Chicago and the northern quarter of Illinois.

 

Thus we have  an EARTH geography location  with Z = atomic number  in the Tesla region between Milwaukee and Evanston.

 

Z (Atomic number) – The Free Dictionary

http://www.thefreedictionary.com/Z+(Atomic+number)

atomic number. (redirected from Z (Atomic number)) Also found in:

Thus the Zion equation –> Z atomic number  I/O (Input Output) n-space

 

Evanston is well-known as a Margaret Mead atomic social science experimental community … based upon ….the textbook

evans 5

Thus we have 3 locations ……   Milwaukee region with Cudahy and Oak Creek,   Zion, and Evanston  …… all have an atomic,   copper atom,  radio wave,  or electricity identifier …and they all have a  common border with Lake Michigan waves …

and the keyword  ato(mic) michigan.

 

Thus we have water waves boundary at Lake Michigan  ………… and ocean waves (in  textbook words , talks, and pictures) at Cole Hall oceanography class in DeKalb  Illinois.

 

And we have the shooting.

picture - wave 1

picture - wave 6

The Northern Illinois University shooting was a school shooting that took place on February 14, 2008. Steven Kazmierczak shot multiple people on the campus of Northern Illinois University in DeKalbIllinois, killing five people and injuring another twenty-one, before committing suicide.

The incident happened at the campus’s Cole Hall at approximately 3:05 p.m. local time.

 

At approximately 3:05 p.m. CST, Steven Kazmierczak entered a large auditorium-stylelecture hall in Cole Hall (Auditorium 101) with approximately 120 students, where anoceanography class was in session

Thus we have the node –> No + de –> Northern deKalb –> No+ De(ath)

picture - electron node 5

Thus Nature’s post office sent an envelope .. with a message EVENT  ….   to university scientists  and the  administrators of oscillations on the Cole Hall campus.

cole hall field house

Thus, above we have a FIELD HOUSE area ….  a physical build that represents data fields, gravity fields, magnetic fields, abstract algebra fields, electromagnetic fields   ….. and  the small city of DeKalb is surrounded by farm fields.

Thus we have  an EARTH LAB site for Einstein’s FIELD THEORY.

 

Notice the code

–> NoDe –> Northern DeKalb is in string theory region USA while

–> NoDe –> Norway Denmark is in rope theory region of Eu.rope

 

europe  2 sides

Thus we see that the brain cells and Central Nervous System of theorists probably function differently in these 2 EARTH regions…… since, their bio-physics structure interacts with Nikola Tesla vibrations  … unless they acknowledge the existence of both string theory and rope theory  and single threading a task.