RD-blog-344 by Herb Zinser
Texas mathematical-physics
LAW SCHOOL problems
—> the Science Wars
–> The Waxahachie Super Collider
and the Janet Reno
– Renormalization group Equations
Modern Legal System expressions of human molecule thoughts.
The molecule TRIALS give new insight into atomic, molecular humans and molecule social chemistry expression evolution
Atomic LAW school perception problems in the education of Department of Justice thinkers
Margaret Mead atomic nuclear family expressions VIA humanoid OUTPUT display devices … such as the atomic, bio-physics, biochemistry structure with EARTH LAB identifier label: Janet Reno.
RD-blog-344
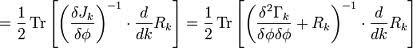
The book Supersymmetry: Theory, Experiment, and Cosmology by Pierre Binetruy has as Appendix E: Renormalization group equations.…concepts familiar to the Texas University system, many corporations, and Washintgton,D.C. decision makers.
These theories and their data are available in many books and research papers. They are a milestone in understanding the structure of existence; but Nature continues to advance ….and its intellectual messages continue to provide us with clues ..clues needed to understand the atomic/astrophysics continuum and its evolution.


The Margaret Mead nuclear family……atomic social anthropology conflict …. is best explained by example. Using parallel processing we can view the events of year 1993….of the periodic atomic table government and its various expressions …including atomic bio-physics humans with a symbolic brain computer.
The parallel processing OR
SUPER-symmetric model for 1993 involved SUPER-colliders…
–> Waxahachie Superconducting Super Collider …cancelled
–> Wa…………………………..Co……….cancelled
–> …………………………….Columbine ..cancelled
–> …………………………….Cole Hall ..cancelled
Thus we have the practical application of super-symmetry theory to our daily existence….
LIFE or DEATH.
–> Thus Waxahachie Super Collider ………
–> the Waco, Texas Super Collider …..the Margaret Mead nuclear anthropology message to the world…..from the periodic atomic table government ….a message to atomic humans in Washington,DC that misrepresent OR mis-interpret atomic and mathematical government social engineering policies.
the Waco, Texas Super Collider with Janet Reno

The Waco siege was the siege of a compound belonging to the religious sect Branch Davidians, carried out by American federal and Texas state law enforcement, as well as the U.S. military, between February 28 and April 19, 1993.[4] The Branch Davidians were led by David Koresh and were headquartered at Mount Carmel Center ranch in the community of Axtell, Texas,[5][6][7] 13 miles (21 kilometers) east-northeast of Waco. Suspecting the group of stockpiling illegal weapons, the Bureau of Alcohol, Tobacco, and Firearms (ATF) obtained a search warrant for the compound and arrest warrants for Koresh and a select few of the group’s members.
The incident began when the ATF attempted to raid the ranch. An intense gun battle erupted, resulting in the deaths of four government agents and six Branch Davidians. Upon the ATF’s failure to raid the compound, a siege lasting 51 days was initiated by the Federal Bureau of Investigation (FBI). Eventually, the FBI launched an assault and initiated a tear gas attack in an attempt to force the Branch Davidians out of the ranch. During the attack, a fire engulfed Mount Carmel Center. This resulted in the deaths of 76 Branch Davidians, including 20 children, two pregnant women and David Koresh.[8][9]
the Waco, Texas Super Collider with Twin Peaks


2015 Waco shootout – Wikipedia
en.wikipedia.org › wiki › 2015_Waco_shootout
On May 17, 2015, in Waco, Texas, United States, a shootout erupted at a Twin Peaks restaurant … Wayne Lee “Sidetrack” Campbell, 43, Cossack, shot in the head and torso. Richard Matthew “Chain” Jordan, III, 31, Cossack, shot in the head.
Wayne Lee “Sidetrack” Campbell, 43
Wayne Lee “Sidetrack” Campbell, 43
Wayne Lee “Sidetrack” Campbell, 43 ……..
Nucleic Acids to Amino Acids: DNA Specifies Protein | Learn …
www.nature.com › scitable › topicpage › nucleic-acids-to-amino-acids-d…
How can the four bases that make up
DNA specify the 20 amino acids that …
However, a triplet code
produces 64 (43 = 64)
possible combinations, or codons.
Wayne Lee “Sidetrack” Campbell, 43
Wayne Lee “Sidetrack” Campbell, 43
Wayne Lee “Sidetrack” Campbell, 43 ……..
Biochemistry (9781285429106): Mary K … – Amazon.com
www.amazon.com › Biochemistry-Mary-K-Campbell
Mary K. Campbell
was Professor Emeritus of chemistry at Mount Holyoke College, where she taught biochemistry, general chemistry, and physical chemistry, as well as advised undergraduates working on biochemical research projects.

Wayne Lee “Sidetrack” Campbell, 43
Wayne Lee “Sidetrack” Campbell, 43
Wayne Lee “Sidetrack” Campbell, 43 ……..

2015 Philadelphia
Education, training ERRORS …..
train derailment
– Wikipedia
en.wikipedia.org › wiki › 2015_Philadelphia_train_derailment
On May 12, 2015, an Amtrak Northeast Regional train from Washington, D.C. bound for New York City derailed and wrecked on the Northeast Corridor in the Port Richmond neighborhood of Philadelphia, Pennsylvania. …
One Port Richmond resident said the wreck felt like “a mild earthquake”; another said it “sounded like a …

Giving us more insight to the situation….we have the
Psychohistory by Isaac Asimov from Foundation – Technovelgy
www.technovelgy.com/ct/content.asp?Bnum=1784
Psychohistory by Isaac Asimov: Branch of mathematics describes the behavior of human beings en masse.

and NATURE”S …. Isaac Asimov application demo VIA
JANET RENO ….
Janet Reno mathematical-physics social laws as predicted by Isaac Asimov , The Foundation, and psychohistory
|
Janet Reno |
|
|
|
|
|
In office March 11, 1993 – January 20, 2001 |
|
|
President |
|
|
Preceded by |
|
|
Succeeded by |
|
|
Personal details |
|
|
Born |
Janet Wood Reno July 21, 1938 (age 74) |
|
Political party |
|
reno and her mathematics LINK …
renormalization GROUP equations…..with the atomic human GROUP of Branch Davidian with David Koresh. Thus we see the atomic bio-physics experiment in symmetry….played out in Texas.
Reno Nevada geography state
Reno
Reno

Reno
Reno
Reno Nevada

Reno
Reno Harvard Law School
Reno Ha ha ha ….comedy school
Reno
Reno
Reno
Reno

Above atomic columns ….
Carl Jung atomic collectives of
stone/ rock /cement …..
that collect data from human information carriers
Above IONIC column COMPUTER code ….
……….IO → Input Output .
Reno
Reno
Reno
Reno
Renormalization group equation – Wikipedia, the free encyclopedia
en.wikipedia.org/wiki/Renormalization_group_equation
Jump to: navigation, search. Renormalization group equation may refer to: Beta-function · Callan–Symanzik equation · Exact renormalization group equation …
…some examples of the mathematics of the Department of Justice



Page 485
We see here a set of renormalization group equations which are scattered in the book. The notations….. In the case of Yukawa couplings, soft scalar masses, and A-terms, we give the third family couplings. To obtain the corresponding formulas for the other two families,one …
Thus we see that from NATURE’s point of view…the David Koresh religious group represented a family…of some atomic significance…as a Margaret Mead atomic nuclear FAMILY …atomic political science messenger (in Human format).

Code words
→ Waco tribune → Wa + co →
Wave continuum
Code words
→ Sinful → sin data carrier waves

Renormalization group – Wikipedia, the free encyclopedia
en.wikipedia.org/wiki/Renormalization_group
In theoretical physics, the renormalization group (RG) refers to a mathematical apparatus that allows systematic investigation of the changes of a physical system …
History – Block spin – Elementary theory – Relevant and irrelevant …
Renormalization group experiment using the super-summetry parallel identifier WACO –> WA + CO —> Waxahanchie Collider
- Waco siege – Wikipedia, the free encyclopedia
https://en.wikipedia.org/wiki/Waco_siege
The Branch Davidians, a Christian sect led by David Koresh, lived at Mount Carmel ….. The 1993 clash in Waco, Texas at the Branch Davidian complex is an …
David Koresh – Branch Davidians – Category:Waco siege – Mount Carmel Center - David Koresh and the Waco Incident — Both Sides Prepare …
www.trutv.com/library/crime/notorious_murders/not…/koresh/1.html
David Koresh and the Waco Incident: Both Sides Prepare … on February 28th, 1993 in Waco, Texas in the clash between law enforcement and a religious group …
Department of Justice…. brain decision theory using brain SYMBOL MACHINE processing … a line of thought without studying the Isaac Asimov mathematics of REALITY





Will Janet Reno Run Justice? – New York Times
www.nytimes.com › COLLECTIONS › JUSTICE DEPARTMENT
Mar 12, 1993 – Janet Reno will face plenty of challenges as Attorney General — a rudderless Justice Department
Reno–Sparks Convention Center – 4590 S. Virginia Street Reno, NV …
www.visitrenotahoe.com/…conventions/…/reno–sparks–convention–cente…
Reno Sparks Convention Center, owned and operated by the Reno-Sparks Convention and Visitors Authority,
is the destination of choice for first tieramenities …
The Hierarchy Problem | Of Particular Significance
–> choice for first tier.……
profmattstrassler.com/articles-and…physics…/the-hierarchy–problem/
Aug 14, 2011 – What is the Hierarchy Problem? An important feature of nature that puzzles scientists like myself is known as the hierarchy, meaning the vast …
Janet Reno – Sparks Convention Center …….. the super-symmetry SYMBOL MACHINE parallel EVENT processor in Texas
the Branch Davidian compound
( a religious convention center ) in Waco, Texas
On February 28, 1993 BATF agents arrived….
On Fe= Ferous oxide atomic DATE with
BATF –> Bat + F —> Batavia FermiLab agents
Reno–Sparks Convention Center
Reno–Sparks Convention Center
Reno–Sparks Convention Center in Waco

Page 403 Dilations and renormalization group
Scale invariance and its VIOLATIONS as described by the renormalization group approach play an important role in the study of supersymmetry –> such as Wa(xahachie) Co(llider).
Of course, the FBI was involved.
Which FBI…in the many dimensions of Sartre existentialism on Earth?
FBI…the traditional Federal Bureau of Investigation
FBI math –> Function( Z = a + BI) abbreviation FBI complex variables …with President Eisenhower and the symbolic …Military Industrial Complex..complex variables of the brain symbolic military forces.




FBI atoms –>FermiLAB, Batavia, Illinois = FBI intials
But FermiLAB don’t communicate with researchers about the atomic anthropology super collisions.
And thus the Hierarchy Problem since the agent ZIN for the Zino particle is not given diplomatic recognition. The Zino particle has a complex variable life…1/4 of its complex life is Z.
The atomic map of the universe..has a country called PERU –> Per + U = Periodic atomic table Uranium. Now around 1986 and again in 1988 I visited South America, Peru was the main country…and a short trip to Columbia and also Brazil. At the time…to my conscious mind..it was simply a trip…….a vacation of sorts…..a curiosity visit.
Over 20 year later, older and wiser…and with several physics and math books, etc……I began to realize something existed…and that I needed to upgrade my awareness. Hence,science books provided many CLUES…..and then I read about Pier Oddone …from Peru.
Well, then the Margaret Mead nuclear anthropology PUZZLE began to fall into place….about how the human atomic brain works and also helps manage and direct out lives…..hence, I understood that the physical TRIP to South America had symbolic significance….and a tensor space time –> social time meaning.

PERU –> symbolizes PER.iodic table with U=Uraniun 238
COL.umbia –> symbolizes the COL.umns in the atomic table…and the COL.umns of elements are atomic families…and in the last 70 years…Margaret Mead atomic anthropology families.
Thus I am like Nature’s double-helix atomic agent…a parallel/symmetry to Pier Oddone.
Pier ODDONE …like all of us …has a alter ego….a duality….as an indivi.DUAL.
Atomic theory of life predicts that his mission was part of a LARGE human design project of the atomic table government with Nature’s intellect and subset humans and their institutions.
Thus we see the extension demo of the Lake Michigan wave mechanics INTELLECT of Nature.
We have the evolution of the knowledge Universe VIA the University of Illi.nois(e) after World War 2….with the EARTH LAB bio-physics educational experiments in Chicago.
1) the original campus…first at Navy Pier –> now we have
supersymmetry physics with first name Pier
2) then came the architectural communications structure
known as Chicago Circle –> O –> Oddone
But these things as atomic human evolution …atomic English language symbolic SIGNALS ….are properly ignored as trivia. Everyone knows that ATOMS don’t think.
Thus we have part of the HIERARCHY PROBLEM…..the official human representatives of the periodic atomic table are to be acknowledged explicitly.
But FermiLAB and others deny my existence; hence they do not recognize my diplomatic identifiers,etc…..even thou many books including “The GOD Particle” print my identifier nouns and other data….all with a high statistical-correlation; suggesting to me that NATURE is trying to tell me something.
Meanwhile I am aware of the atomic secrets of the Spanish language (spanned data records) and
the Italian languages (Orbital subset = ital …as in brain map …. electron country ITAL(y)).
Maybe someday Pier Oddone and his theoretical physics department may want to compare notes.
The Allan Green.SPAN money for the SPAN.ish countries via atomic economic monetary policy…is a nifty trick..using word commands to manipulate the atomic computer brain. Atomic economics really is interesting….every scheme and trick exists. I assume that FermiLAB knows this; and if they don’t then they ought consider learning.

